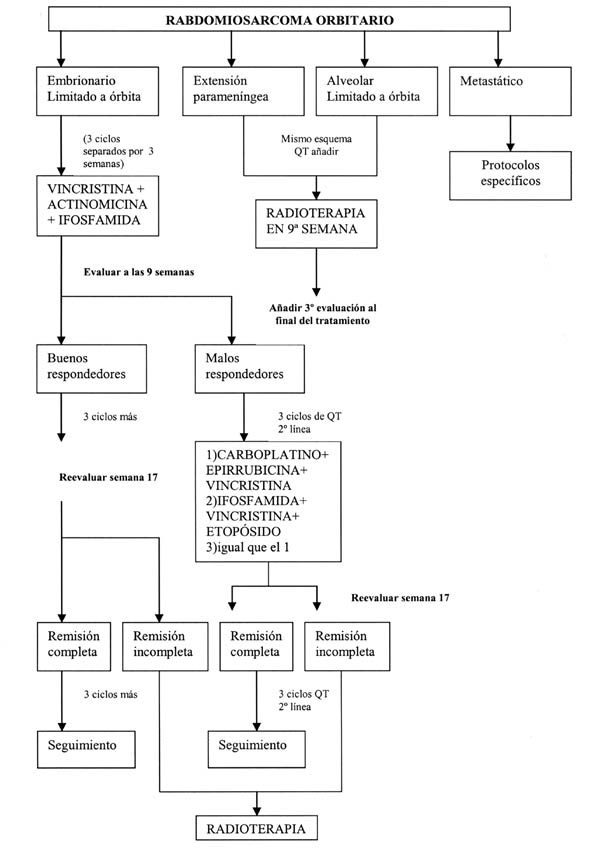
Fig. 5. Protocolo de tratamiento del Rabdomiosarcoma SIOP MMT-95.