SciELO - Scientific Electronic Library Online

 
vol.28 issue2Sociodemographics, playing habits, adherence to the mediterranean dietary pattern, dietary supplements intake, physical activity level, and degree of internet gaming disorder of portuguese chess playersConsumption of ultra-processed foods and relationship with sodium and potassium excretion: a cross-sectional study author indexsubject indexarticles search
Home Pagealphabetic serial listing  

My SciELO

Services on Demand

Journal

Article

Indicators

Related links

  • On index processCited by Google
  • Have no similar articlesSimilars in SciELO
  • On index processSimilars in Google

Share


Revista Española de Nutrición Humana y Dietética

On-line version ISSN 2174-5145Print version ISSN 2173-1292

Rev Esp Nutr Hum Diet vol.28 n.2 Pamplona Apr./Jun. 2024  Epub Mar 14, 2025

https://dx.doi.org/10.14306/renhyd.28.2.2076 

INVESTIGACIONES

Correlación entre CUN-BAE, índice de masa corporal y circunferencia de cintura en adultos chilenos: resultados de la Encuesta Nacional de Salud 2016-2017

Correlation between CUN-BAE, body mass index, and waist circumference in chilean adults: analysis of data from the 2016-17 Chilean National Health Survey

Miquel Martorella  b  #*  , contribuyeron a la creación y diseño del estudio, diseñaron el plan estadístico e interpretaron los datos, escribió el primer borrador, revisión crítica; Danahe Barrientosc  #, contribuyeron a la creación y diseño del estudio, diseñaron el plan estadístico e interpretaron los datos, escribió el primer borrador, revisión crítica; Karina Ramírez-Alarcónb  , revisión crítica; Gabriela Nazara  d  , revisión crítica; Claudia Troncoso-Pantojae  , revisión crítica; Yeny Concha-Cisternasf  g  , revisión crítica; Felipe Díaz-Toroh  , revisión crítica; Ana Maria Leivai  , revisión crítica; Solange Parra-Sotoj  k  , revisión crítica; Fanny Petermann-Rochal  , revisión crítica; Carlos Celis-Moralesf  k  m  , contribuyeron a la creación y diseño del estudio, diseñaron el plan estadístico e interpretaron los datos, revisión crítica; Ana María Labrañab  , contribuyeron a la creación y diseño del estudio, diseñaron el plan estadístico e interpretaron los datos, revisión críticaen representación del grupo de investigación ELHOC

aCentro de Vida Saludable, Universidad de Concepción, Concepción, Chile

bDepartamento de Nutrición y Dietética, Facultad de Farmacia, Universidad de Concepción, Concepción, Chile

cPrograma de Magíster en Nutrición Humana, Facultad de Farmacia, Universidad de Concepción, Concepción, Chile

dDepartamento de Psicología, Facultad de Ciencias Sociales, Universidad de Concepción, Concepción, Chile

eCentro de Investigación en Educación y Desarrollo (CIEDE-UCSC), Departamento de Salud Pública, Facultad de Medicina, Universidad Católica de la Santísima Concepción, Concepción, Chile

fEscuela de Kinesiología, Facultad de Salud, Universidad Arturo Prat, Iquique, Chile

gPedagogía en Educación Física, Facultad de Educación, Universidad Autónoma de Chile, Talca, Chile

hFacultad de Enfermería, Universidad Andrés Bello, Santiago, Chile

iInstituto de Anatomía, Histología y Patología, Facultad de Medicina, Universidad Austral de Chile, Chile

jDepartamento de Nutrición y Salud Pública, Facultad de Ciencias de la Salud y de los Alimentos, Universidad del Bío-Bío, Chillán, Chile

kSchool of Cardiovascular and Meatbolic Health, University of Glasgow, Glasgow, United Kingdom

lCentro de Investigación Biomédica, Facultad de Medicina, Universidad Diego Portales, Santiago, Chile

mHuman Performance Lab, Education, Physical Activity and Health Research Unit, University Católica del Maule, Talca, Chile

RESUMEN

Introducción:

Dada la complejidad y costos para determinar el porcentaje de grasa corporal en humanos, se busca establecer nuevas fórmulas para determinar esta variable. La ecuación CUN-BAE usa indicadores simples como sexo e índice de masa corporal (IMC) para estimar el porcentaje de grasa corporal. El objetivo fue determinar el grado de correlación entre el porcentaje de grasa corporal, obtenido mediante ecuación CUN-BAE, IMC y circunferencia de cintura (CC) en adultos chilenos pertenecientes a la muestra de los participantes de la Encuesta Nacional de Salud (ENS) 2016-2017.

Metodología:

Se incluyeron 5.583 participantes de la ENS 2016-2017, en quienes se obtuvieron medidas antropométricas para determinar IMC, estado nutricional y CC. Se determinó el porcentaje de masa grasa según la ecuación CUN-BAE. La correlación entre IMC, CC y CUN-BAE se analizó mediante el coeficiente de correlación de Pearson (r).

Resultados:

El IMC y el porcentaje de masa grasa según ecuación CUN-BAE presentaron una fuerte correlación tanto en hombres (r=0,924, p<0,0001) como en mujeres (r=0,929, p<0,0001). Las mujeres presentaron una correlación más alta entre CUN-BAE e IMC y CC que los hombres. En el caso de la correlación entre CC y porcentaje de masa grasa corporal según CUN-BAE también se logró observar una fuerte correlación tanto para hombres (r=0,817, p<0,0001) como mujeres (r=0,812, p<0,0001).

Conclusión:

La ecuación CUN-BAE para determinar el porcentaje de grasa corporal presenta una fuerte correlación con respecto a IMC y CC. Se requieren de otras investigaciones que evalúen la capacidad predictora de enfermedades crónicas no transmisibles de CUN-BAE en población chilena.

PALABRAS CLAVE: Composición Corporal; Grasa Corporal; Índice Masa Corporal; Circunferencia de Cintura; Obesidad

ABSTRACT

Introduction:

Given the complexity and costs involved in measuring body fat percentage in humans, there is a quest to establish new methods for determining this variable. The CUN-BAE equation utilizes simple indicators such as sex and Body Mass Index (BMI) to estimate body fat percentage. The objective was to determine the degree of correlation between the percentage of body fat obtained through the CUN-BAE equation, BMI, and waist circumference (WC) in Chilean adults from the interviewed sample of the National Health Survey (CNHS) 2016-2017.

Methodology:

5,583 participants of the CNHS 2016-2017 were included, where specific anthropometric measurements were taken to determine BMI, nutritional status, and WC. In addition, the percentage of fat mass was determined according to the CUN-BAE equation. The correlation between BMI, WC, and CUN-BAE was analyzed using the Pearson correlation coefficient (r).

Results:

BMI and percentage of fat mass according to the CUN-BAE equation presented a strong correlation both in men (r=0.924, p<0.0001) and women (r=0.929, p<0.0001). Women presented a higher correlation between CUN-BAE and BMI and WC than men. In the case of the correlation between WC and percentage of body fat mass according to CUN-BAE, a strong correlation was also observed for both men (r=0.817, p<0.0001) and women (r=0.812, p<0.0001).

Conclusions:

The CUN-BAE equation to determine the percentage of body fat has a strong correlation with respect to BMI and WC. Further studies are required to evaluate the predictive capacity of CUN-BAE for chronic noncommunicable diseases in the Chilean population.

KEYWORDS: Body Composition; Fat Body; Body Mass Index; Waist circumference; Obesity

MENSAJES CLAVE

  1. El exceso de grasa corporal está ligado al desarrollo de comorbilidades.

  2. CUN-BAE es una ecuación predictiva de fácil aplicación para determinar el % de masa grasa.

  3. En la población chilena hay una correlación positiva de CUN-BAE con IMC y CC.

INTRODUCCIÓN

La obesidad se define como el almacenamiento anormal o excesivo de grasa corporal y se reconoce como una enfermedad crónica y multifactorial que alcanzó proporciones de pandemia a nivel mundial1. Se estima que cada año se suman 3,6 millones de personas obesas en el mundo2. En el caso de Chile, el sobrepeso y obesidad afectan a más del 70% de la población3, posicionándolo como el segundo país de América Latina con mayor prevalencia de obesidad y factores de riesgo cardiovasculares4. Para el año 2030, se proyecta una prevalencia de obesidad en Chile del 33%5.

El exceso de grasa corporal se relaciona con diversas enfermedades crónicas, como diabetes tipo 2, hipertensión arterial, dislipidemias, síndrome metabólico y cáncer, entre otras6,7. Estas patologías están asociadas con la inflamación sistémica provocada por el aumento de adipocinas y hormonas sintetizadas por los adipocitos y macrófagos del tejido adiposo, así como la hiperactividad del sistema nervioso central y la secreción de insulina, causados por el exceso de acumulación de grasa en el organismo8. Es por esta razón que el diagnóstico de sobrepeso u obesidad es fundamental para prevenir el desarrollo de dichas enfermedades9.

En la práctica clínica, el diagnóstico de obesidad se determina de manera habitual utilizando el índice de masa corporal (IMC)10, que es un indicador de nutrición global, que no diferencia entre los componentes corporales de masa grasa y masa muscular, pero sigue siendo utilizado debido a su facilidad de utilización en contextos clínicos y de atención primaria11. Este índice se complementa con otras mediciones antropométricas, como la circunferencia de cintura (CC) y la absorciometría de rayos X de energía dual (DEXA), esta última considerada el gold standard para analizar la composición corporal en humanos12,13.

Dado que la utilización de técnicas más precisas para medir la grasa corporal puede ser costosa y de difícil acceso es que se continúa trabajando en nuevas formas para determinar el porcentaje de grasa corporal total y de ese modo, complementar el diagnóstico basado en el IMC. Un ejemplo es la fórmula CUN-BAE (Clínica Universidad de Navarra-Body Adipocity Estimator), una ecuación predictiva de fácil aplicación, que permite determinar el porcentaje (%) de masa grasa basándose en indicadores fáciles de obtener, como sexo e IMC, sin necesitar tecnología sofisticada14. Esta fórmula ha mostrado ser útil para identificar altos niveles de adiposidad corporal en sujetos adultos considerados delgados y con sobrepeso14. Lo anterior puede ser útil para detectar falsos delgados o delgados metabólicamente obesos, los cuales presentan altos riesgos de desarrollar enfermedades crónicas no transmisibles (ECNT) al no mantener un control médico por la falsa apariencia de su estado nutricional15. También se ha postulado como un fuerte predictor de diabetes en la práctica clínica7,16.

En este contexto, el objetivo fue determinar el grado de correlación entre el porcentaje de grasa corporal, obtenido mediante ecuación CUN-BAE, el IMC y la CC en adultos chilenos pertenecientes a la muestra de los participantes de la Encuesta Nacional de Salud (ENS) 2016-2017.

METODOLOGÍA

Diseño y muestra del estudio

Se realizó un estudio de prevalencia tipo transversal aleatorio, estratificado por conglomerado, utilizando la base de datos de la ENS 2016-2017. La población de estudio fue de 6.233 personas chilenas y/o extranjeras de 15 años o más que residían de forma habitual en viviendas particulares, localizadas en zonas urbanas y rurales de las quince regiones de Chile. Este estudio incluyó una muestra total de 5.583 personas, que contaban con datos de medidas antropométricas específicas como peso corporal, talla y CC para determinar IMC y estado nutricional, además de la recolección de variables sociodemográficas con el fin de caracterizar a la población. Para ponderar la muestra a población nacional, se aplicaron los factores de expansión sugeridos por la ENS 2016-2017, por lo tanto, la muestra expandida incluida en este estudio representa a 14.449.868. El protocolo de la ENS 2016-2017 fue aprobado por el Comité de Ética de la Escuela de Medicina de la Pontificia Universidad Católica de Chile y todos los participantes firmaron un consentimiento informado.

Medidas antropométricas

La medición de peso, talla corporal y CC fueron determinados según métodos estandarizados previamente descritos17. El estado nutricional de los participantes se obtuvo según las recomendaciones de la Organización Mundial de la Salud (OMS) para adultos10. La obesidad central se determinó utilizando el valor de CC y se clasificó de acuerdo a los criterios de la OMS para mujeres (>80 cm) y hombres (>90 cm)18.

Composición corporal

El porcentaje de grasa corporal se determinó según la ecuación CUN-BAE propuesta por Gomez-Ambrosi et al.14:

%GC=-44,988+0,503×edad+10,689×sexo+3,172×IMC-0,026×IMC2+0,181×IMC×sexo-0,02×IMC×edad-0,005×IMC2×sexo+(0,00021×IMC2×edad)

En donde el sexo se codifica de manera diferente para hombres (=0) y mujeres (=1) y la edad se considera en años. La clasificación del estado nutricional según el porcentaje de grasa corporal se categorizó como normal en <30% en mujeres y <20% en hombres, sobrepeso del 30 al 35% en mujeres y del 20 al 25% en hombres, y obesidad en >35% en mujeres y 25% en hombres14.

Variables sociodemográficas y de estilos de vida

Las variables sociodemográficas utilizadas para este estudio fueron edad en años, las que fueron clasificadas en tres categorías: <37 años, 37-56 años y ≥57 años; zona geográfica clasificada en dos categorías como urbano y rural; nivel educacional que fue clasificado en 3 categorías según años cursados: ≤8 años, 9- 12 años y >12 años y ocupación clasificado en cuatro categorías: trabajador (a), dueña o dueño de casa, estudiante, jubilado u otro. Todas las variables fueron recopiladas a través de los cuestionarios estandarizados y validados en la población nacional según protocolos descritos en la ENS 2016-201719.

Los datos relacionados con los estilos de vida fueron obtenidos a través de autorreporte de salud y bienestar, horas de sueño al día, hábito tabáquico, LifeStyle Score full y el cumplimiento de las Guías Alimentarias Basadas en Alimentos (GABA) para la población chilena20,21. Los niveles de actividad física y su intensidad fueron reportados mediante el cuestionario Global Physical Activity Questionnaire (GPAQ v2)22. La actividad física total fue expresada en MET/min/día y evaluada en 3 dimensiones, incluyendo la suma del tiempo reportado en actividades de transporte, en el trabajo y tiempo libre.

Análisis estadístico

Todos los análisis fueron realizados mediante la aplicación de un valor de ajuste sugerido por la ENS 2016-2017 para muestras complejas, lo cual permite corregir las características de la población encuestada a las características representativas de la población nacional. Se realizó la caracterización de la muestra estudiada a través de análisis descriptivos como promedios para variables continuas y como proporción para variables categóricas, con un intervalo de confianza (IC) del 95%, agrupados por sexo y clasificación de porcentaje de masa grasa según CUN-BAE.

Se evaluó la correlación entre las medidas estudiadas (IMC, CC y CUN-BAE), utilizando el coeficiente de correlación de Pearson (r) con su respectivo IC del 95%. Como variables categóricas se analizaron la distribución del IMC, CC y CUN-BAE a través de estadística descriptiva. Además, se compararon las distribuciones de los individuos según la categorización de adiposidad descritos anteriormente. Para evaluar el grado de correlación entre las dos formas de clasificación se calculó el coeficiente del índice Kappa ponderado (IC95%). Todos los análisis fueron estratificados por sexo.

Los datos se analizaron utilizando el software STATA MP v14 y el comando de “svyset” para muestras complejas. El nivel de significancia utilizado fue definido como p<0,05.

RESULTADOS

Las características sociodemográficas de los participantes según sexo y clasificación de porcentaje de grasa según CUN-BAE se identifican en la Tabla 1. En general, se destaca que el promedio de edad entre mujeres y hombres con obesidad fue de 25,2 años, mayor que el promedio de los individuos clasificados como normopeso (22,1 años). El IMC promedio de los individuos clasificados con obesidad según CUN-BAE fue de 31,0 kg/m2 en mujeres y 30,2 kg/m2 en hombres. Si nos referimos a variables sociodemográficas podemos destacar que el mayor porcentaje de individuos eran pertenecientes a áreas urbanas más que rurales. También, hay que resaltar que el mayor porcentaje de participantes normopeso eran solteros (83,9%), mientras que el mayor porcentaje de participantes obesos eran casados (43,5%). En cuanto a las variables relacionadas con el estilo de vida, todas las categorías según CUN-BAE se clasifican mayormente como activos. En lo que se refiere al bienestar y estilo de vida, el mayor porcentaje de los participantes catalogados como normopeso reportaron un buen estilo de vida, al igual que los participantes clasificados como sobrepeso. Sobre el puntaje de estilo de vida, los participantes con sobrepeso y obesidad, tanto hombres como mujeres, se observó en mayor porcentaje dentro de la catalogación “bajo-medio”. Según la variable multimorbilidad, el mayor porcentaje de participantes sin enfermedades, tanto hombres como mujeres, eran normopeso; por el contrario, entre mayor número de enfermedades presentes en los participantes, se observaron mayores porcentajes de obesidad según CUN-BAE, tanto en hombres como mujeres.

Tabla 1. Características sociodemográficas de los participantes según sexo y clasificación de porcentaje de grasa determinado por CUN-BAE. 

Variable Mujeres Hombres
Normopeso Sobrepeso Obesidad Normopeso Sobrepeso Obesidad
N 731 825 1044 429 496 605
n expandido 1.553.352 1.744.761 2.208.558 1.516.833 1.757.825 2.140.578
Prevalencia (%) 21,1 (20,8;21,4) 23,7 (23,4;24,0) 30,0 (30,7;31,4) 21,4 (21,0;21,7) 24,8 (24,6;25,1) 30,2 (29,9;30,5)
Edad (años) 22,1 (20,7;23,6) 32,4 (29,9;3,8) 48,3 (47,3;49,3) 24,4 (22,8;26,0) 36,2 (34,0;38,4) 48,2 (46,8;49,7)
Peso (kg) 53,3 (52,1;54,5) 59,5 (58,1;60,6) 75,0 (74,1;75,9) 62,4 (61,1;63,6) 73,3 (71,7;74,8) 86,2 (85,1;87,4)
Estatura (m) 1,6 (1,6;1,6) 1,6 (1,6;1,6) 1,6 (1,5;1,6) 1,7 (1,7;1,7) 1,7 (1,7;1,7) 1,7 (1,7;1,7)
IMC (kg/m2) 21,1 (20,8;21,4) 23,7 (23,4;24,0) 31,0 (30,7;3,4) 21,4 (21,0;21,7) 24,9 (24,6;25,1) 30,2 (29,9;30,5)
Estado nutricional (%)
Bajo peso 9,6 (4,9;18,1) 1,7 (0,5;4,9) 0,0 (0,0;0,0) 9,1 (5,1;15,8) 0,1 (0,0;0,1) 0,0 (0,0;0,0)
Normopeso 90,4 (81,9;95,1) 75,5 (66,9;82,4) 7,4 (5,7;9,5) 90,9 (84,2;94,9) 45,8 (37,2;54,7) 4,6 (3.3;6,3)
Sobrepeso 0,0 (0,0;0,0) 22,8 (16,0;31,4) 43,1 (39,7;46,5) 0,0 (0,0;0,0) 54,0 (45,1;62,6) 50,2 (45,8;54,6)
Obesidad 0,0 (0,0;0,0) 0,0 (0,0;0,0) 49,5 (46,1;52,9) 0,0 (0,0;0,0) 0,0 (0,0;0,0) 45,2 (40,9;49,6)
CC (cm) 70,9 (69,3;72,5) 79,3 (78,3;80,3) 96,4 (95,5;97,3) 77,0 (75,8;78,2) 87,3 (86,2;88,4) 100,6 (99,8;101,4)
Obesidad Central (%)
Normal 99,9 (99,7;100,0) 93,1 (88,6;96,0) 23,4 (20,7;26,4) 98,8 (95,5;99,7) 98,8 (96,9;99,5) 60,8 (56,5;64,9)
Obesidad 0,0 (0,0;0,3) 6,9 (4,0;11,4) 76,6 (73,6;79,3) 1,2 (0,3;4,5) 1,2 (0,4;3,1) 39,2 (35,1;43,5)
Zona (%)
Urbano 90,6 (83,0;94,9) 92,9 (89,2;95,4) 87,7 (86,2;89,1) 93,4 (87,5;96,6) 91,1 (86,9;94,1) 88,0 (85,7;90,1)
Rural 9,4 (5,1;17,0) 7,1 (4,6;10,8) 12,3 (10,9;13,8) 6,6 (3,4;12,5) 8,9 (5,9;13,1) 12,0 (9,9;14,3)
Estado civil (%)
Casado 2,9 (1,4;5,9) 17,3 (12,9;22,8) 39,8 (36,5;43,2) 8,1 (4,8;13,5) 26,1 (19,4;34,2) 49,8 (45,5;54,1)
Convive 7,6 (3,9;14,3) 11,5 (7,6;17,0) 12,4 (10,3;14,8) 9,2 (5,3;15,7) 19,0 (12,6;27,5) 15,5 (12,2;19,1)
Divorciado /Separado/ Anulado 3,4 (1,1;9,8) 9,1 (5,4;15,1) 12,1 (9,9;14,8) 1,0 (0,4;3,0) 3,9 (1,4;10,2) 6,4 (4,9;8,5)
Viudo 0,7 (0,2;2,6) 2,5 (1,1;5,7) 9,7 (8,2;11,4) 0,0 (0,0;0,0) 0,3 (0,0;1,6) 34,4 (24,2;4,9)
Soltero 85,3 (77,6;90,7) 59,5 (51,6;67,0) 26,0 (23,0;29,3) 81,6 (74,2;87.2) 50,7 (41,8;59,5) 24,9 (21,2;29,1)
Trabaja 21,3 (14,1;31,0) 37,6 (30,2;45,7) 39,8 (36,4;43,2) 39,5 (30,9;48,8) 70,9 (62,4;78,2) 72,8 (68,8;76,5)
Asesor hogar 20,7 (12,5;32,2) 22,1 (16,6;28,7) 35,5 (32,3;38,9) 0,8 (0,1;3,5) 0,0 (0,0;0,0) 1,5 (0,6;3,8)
Estudiante 53,4 (42,4;64,1) 30,6 (22,7;39,8) 4,6 (3,4;6,3) 44,2 (35,7;53,5) 15,3 (9,9;22,8) 6,3 (4,3;9,2)
Jubilado 0,2 (0,0;1,1) 5,0 (2,5;9,8) 14,8 (13,0;16,8) 0,9 (0,2;3,3) 5,9 (3,1;11,0) 13,7 (11,3;16,4)
Otro 4,4 (1,9;9,5) 4,7 (2,5;8,5) 5,3 (4,0;6,9) 14,7 (8,9;23,3) 7,9 (4,4;13,6) 5,7 (4,0;8,1)
Actividad física (%)
Inactivo 22,2 (15,2;31,0) 30,3 (22,9;38,9) 33,7 (30,6;37,0) 12,6 (7,5;20,5) 11,6 (7,1;18,3) 20,7 (17,6;24,2)
Activo 77,8 (69,0;84,8) 69,7 (61,1;77,1) 66,3 (63,0;69,4) 87,4 (79,5;92,5) 88,3 (81,7;92,9) 79,3 (75,8;82,4)
Actividad Física (MET/ semana) 2797,3 2816,9 3481,9 6071,4 5067,8 7044,2
(942,5;4652,0) (1890,7;3743,0) (3004,5;3959,2) (6071,7;8423,0) (3589,2;6546,4) (6024,5;8064,0)
Tiempo sedente (h/día) 4,3 (3,7;4,9) 4,2 (3,6;4,8) 2,9 (2,7;3,1) 4,0 (3.5;4,6) 3,6 (3,1;4,1) 3,5 (3,2;3,7)
Horas de Sueño (h/día) 7,7 (7,6;8,2) 7,8 (7,6;8,1) 7,4 (7,3;7,6) 7,9 (7,6;8,1) 7,4 (7,2;7,6) 7,2 (7,1;7,3)
Tabaquismo (%)
Nunca 53,4 (42,2;64,1) 51,3 (43,1;59,4) 47,1 (43,7;50,5) 51,3 (42,1;60,4) 31,9 (24,5;40,5) 31,8 (28,1;35,8)
Exfumador 16,3 (9,1;2,7) 17,3 (12,1;24,0) 24,3 (21,6;27,3) 17,6 (11,7;25,8) 22,4 (15,9;30,6) 33,2 (29,1;37,5)
Fumador regular 17,1 (10,2;27,3) 22,1 (16,0;29,6) 21,6 (18,8;24,7) 23,8 (16,8;32,6) 36,0 (27,7;45,3) 26,0 (22,2;30,2)
Autobienestar (%)
Malo 12,1 (0,4;4,0) 13,2 (0,5;3,5) 3,0 (2,0;4,5) 2,5 (0,8;7.1) 1,0 (0,3;2,7) 1,0 (0,6;1,8)
Regular 18,8 (11,1;29,9) 24,0 (17,2;32,5) 25,2 (22,4;28,2) 17,5 (11,8;25,3) 13,1 (8,3;20,1) 21,6 (18,3;25,3)
Bueno 80,0 (69,0;87,8) 74,6 (66,2;81,6) 71,8 (68,7;4,8) 80,0 (72,0;86,2) 85,9 (78,9;90,8) 77,3 (73,6;80,7)
Estilo Vida Saludable (%)
Bajo 35,2 (25,5;46,4) 34,3 (26,7;42,8) 27,4 (24,5;30,5) 37,8 (29,2;47,1) 37,9 (29,5;47,1) 33,2 (29,1;37,5)
Bajo-Medio 31,8 (22,7;42,5) 35,7 (28,1;44,1) 28,3 (25,3;31,4) 28,4 (20,9;37,3) 26,7 (19,5;35,3) 28,6 (24,8;32,6)
Medio- Alto 25,6 (17,2;36,2) 21,9 (16,2;28,9) 26,7 (23,8;29,9) 23,3 (16,2;32,3) 23,6 (17,0;31,9) 25,2 (21,5;29,2)
Alto 7,3 (2,7;18,3) 8,1 (5,0;12,7) 17,6 (15,2;20,4) 10,6 (6,4;17,0) 11,8 (7,5;18,0) 13,1 (10,5;16,1)
Multimorbilidad (%)
Ninguna 60,3 (48,8;70,8) 56,3 (48,1;64,1) 26,8 (23,9;29,8) 74,4 (65,7;81,5) 70,5 (62,7;77,3) 41,4 (37,0;45,8)
1 enfermedad 30,0 (20,3;41,7) 22,7 (16,8;30,0) 26,9 (23,8;30,2) 15,2 (9,5;23,4) 17,8 (12,5;24,7) 25,3 (21,8;29,3)
2 enfermedades 8,3 (3,8;17,1) 9,9 (5,9;16,4) 16,4 (13,9;19,2) 7,3 (4,0;13,1) 8,1 (4,7;13,5) 15,9 (13,0;19,4)
3 enfermedades 10,5 (0,2;5,2) 7,1 (4,3;11,6) 12,0 (10,1;14,2) 2,7 (1,1;6,5) 2,2 (1,1;4,6) 7,2 (5,4;9,4)
4 enfermedades 0,4 (0,0;3,1) 2,9 (1,2;7,0) 7,5 (6,0;9,2) 0,0 (0,0;0,0) 0,7 (0,2;2,2) 4,4 (3,2;6,1)
5 o más enfermedades 0,0 (0,0;0,0) 1,1 (0,4;2,8) 10,5 (8,6;12,6) 0,4 (0,1;2,7) 0,7 (0,2;1,9) 5,8 (4,1;8,1)

Datos presentados como media y su 95%IC para variables continuas y como porcentaje (%) y su 95%IC para variables categóricas.

Todos los valores fueron corregidos por el factor de expansión sugerido por la ENS 2016-2017. El nivel de significancia fue definido como p<0,05.

ICM: Índice de masa corporal; CC: Circunferencia de cintura.

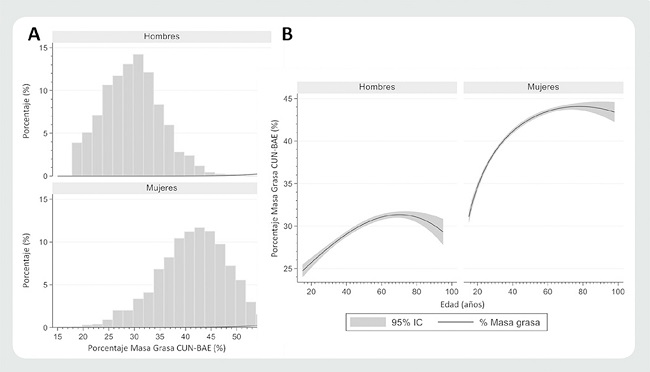
En la Figura 1A, se representa la distribución del procentaje de grasa mediante la fórmula CUN-BAE según sexo. En mujeres, el mayor porcentaje se encontraba entre el 40 y el 46% de masa grasa, y en hombres entre el 27 y el 35%. En la Figura 1B se representa la distribución por sexo y edad del porcentaje de masa grasa corporal según CUN-BAE. En hombres, se observó un aumento lineal de los niveles de masa grasa hasta alcanzar los 70 años y posteriormente se presenta un declive. En comparación a los hombres, en las mujeres se observó un mayor porcentaje de grasa corporal según CUN-BAE en todas las edades con un declive a contar de los 80 años.

Figura 1. A) Distribución por sexo del porcentaje de masa grasa corporal según CUN-BAE. B) Distribución por sexo y edad del porcentaje de masa grasa corporal según CUN- BAE. 

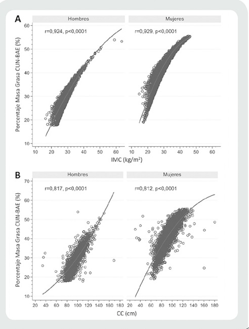
En la Figura 2A se representa la correlación entre el IMC y porcentaje de masa grasa según CUN-BAE, en hombres (r=0,924, p<0,0001) y en mujeres (r=0,929, p<0,0001). En la Figura 2B se representa la correlación entre CC y porcentaje de masa grasa corporal según CUN-BAE, en hombres (r=0,817, p<0,0001) y mujeres (r=0,812, p<0,0001).

Figura 2. A) Correlación entre el índice de masa corporal (IMC) y el porcentaje de grasa corporal según CUN- BAE estratificada por sexo. B) Correlación entre la circunferencia de cintura (CC) y el porcentaje de grasa corporal según CUN- BAE estratificada por sexo. 

En la Figura 3 se muestra la clasificación de sujetos según IMC y porcentaje de masa grasa corporal según CUN-BAE. El 68,1% de los normopeso según IMC clasificó con malnutrición por exceso según CUN-BAE; el 10,4% con sobrepeso por IMC clasificó como sobrepeso según CUN-BAE y el 100% de personas con obesidad según IMC clasificó como tal según CUN-BAE. Al estratificar por sexo se observó el mismo patrón, siendo las mayores diferencias entre IMC y CUN-BAE en mujeres, mostrando solo el 24,0% y 5,8% de concordancia entre las clasificaciones de normopeso y sobrepeso, respectivamente, siendo en hombres de 44,3% y 17,2%.

Figura 3. Clasificación de sujetos según IMC y porcentaje de masa grasa corporal según CUN-BAE para el total y estratificado por sexo. 

DISCUSIÓN

El exceso de grasa corporal está estrechamente ligado al desarrollo de comorbilidades crónicas como enfermedades cardiovasculares, diabetes y algunos tipos de cáncer7,23. Consecuentemente, se justifica estudiar diferentes técnicas de detección temprana de exceso de grasa en el organismo, con el fin de prevenir el desarrollo de dichas patologías. Según nuestro conocimiento, este estudio es el primer acercamiento que explora cómo se distribuye en la población chilena el porcentaje de grasa según la ecuación CUN-BAE y cómo se correlaciona con mediciones antropométricas ampliamente utilizadas como el IMC y CC.

Así como era de esperar, la distribución del porcentaje de grasa corporal en nuestra población, según CUN-BAE, fue mayor en las mujeres en comparación a los hombres. Nuestros resultados concuerdan con el estudio desarrollado por Davila-Batista et al.24 en adultos españoles donde, analizando la distribución del porcentaje de grasa según CUN-BAE, observaron mayor porcentaje de grasa corporal en mujeres (34,4%) que en hombres (27,4%). También en población adulta española Ares Blanco et al.25 reportaron un patrón similar, 30,6% en mujeres y 28,6% en hombres, al igual que Vinknes et al.26 en población noruega, 37,9% en mujeres y 27,3% en hombres.

En cuanto a la correlación entre el porcentaje de grasa corporal, obtenido mediante ecuación CUN-BAE, con IMC y CUN-BAE con CC, se obtuvo una correlación positiva y fuerte (r>0.8) en ambos casos, tanto en hombres como en mujeres. En 994 adultos españoles, Mill-Ferreyra et al.27 observaron una correlación similar entre CUN-BAE e IMC, con un r=0,947 para mujeres y r=0,952 para hombres. Davila-Batista et al.28 en adultos españoles entre 50 y 85 años observaron una correlación similar entre CUN-BAE e IMC, con un coeficiente de Pearson's mayor a 0,96 en ambos sexos. En otro estudio español, Martin et al.29 observaron una correlación superior a 0,88 en ambos sexos. Para CUN-BAE y CC, Davila-Batista et al.28 mostraron una correlación mayor en mujeres (r=0,768) que en hombres (r=0,756), patrón similar a nuestros resultados, con una correlación levemente mayor para ambos sexos.

Mediante la clasificación de sujetos según IMC y porcentaje de masa grasa corporal según CUN-BAE, nuestros resultados arrojaron que el 68,1% de los participantes clasificados como normopeso según IMC presentarían sobrepeso y obesidad, pudiéndose clasificar a estos sujetos como delgados metabólicamente obesos. Ares Blanco et al.25, en su población de estudio, reporta un 30,5% de los normopeso según IMC y solo el 6,5% según CUN-BAE. Al analizar por sexo, se observó que las mujeres reportaban mayores diferencias al igual que nuestros resultados. La misma tendencia se reporta en el estudio de Davila-Batista et al.24 donde el 69,6% clasifica como normopeso según IMC y el 2,1% según CUN-BAE. Este panorama refleja una concordancia limitada entre la clasificación de normopeso según IMC y la establecida por CUN-BAE, especialmente en el caso de las mujeres, lo que sugiere la existencia potencial de una considerable cantidad de individuos falsamente delgados o metabólicamente obesos dentro de la población chilena.

La principal fortaleza de este trabajo es el uso de la base de datos de la ENS 2016-2017, encuesta que utiliza formularios estandarizados para la recopilación de los datos de interés, permitiéndonos que la muestra represente a la población chilena de manera homogénea. Además, esta investigación es uno de los primeros acercamientos en el estudio sobre el uso de la fórmula CUN-BAE en población chilena y abre camino hacia su uso en la predicción de riesgo de ECNT en esta dicha población. Como limitación se puede mencionar la falta de una tercera variable que evaluara la concordancia entre CUN-BAE y niveles de masa grasa determinados por DEXA. Otra limitación es no diferenciar a las personas chilenas de las extranjeras en el estudio lo cual podría influenciar la capacidad predictiva de CUN-BAE para masa grasa en poblaciones de diferente etnia.

CONCLUSIONES

Este estudio establece que el porcentaje de grasa corporal obtenido mediante ecuación CUN-BAE presenta una correlación positiva con el IMC y la CC en la población adulta chilena, lo que lo convierte en una herramienta diagnóstica útil y fácil para estimar el porcentaje de grasa corporal. Al estratificar por sexo, se observó una correlación ligeramente mayor en mujeres que en hombres en ambas variables. Sin embargo, se requieren más investigaciones para evaluar la efectividad de la aplicación de CUN-BAE y su utilidad específica en la población chilena para determinar el exceso de grasa corporal en adultos y, así, prevenir el desarrollo de ECNT. Dado el actual panorama de prevalencia de estas enfermedades en nuestro país, es fundamental continuar investigando nuevas técnicas para llevar a cabo pesquisas preventivas y abordar de manera temprana el desarrollo de estas patologías.

AGRADECIMIENTOS

Se agradece de manera especial a todos los participantes de la ENS 2016-2017, al equipo profesional de la Escuela de Salud Pública, de la Facultad de Medicina de la Pontificia Universidad Católica de Chile, quienes desarrollaron y aplicaron la Encuesta Nacional de Salud y al Ministerio de Salud del Gobierno de Chile.

REFERENCIAS

1. Bray GA, Kim KK, Wilding JPH, World Obesity Federation. Obesity: a chronic relapsing progressive disease process. A position statement of the World Obesity Federation. Obes Rev. 2017; 18(7): 715-23. doi: 10.1111/obr.12551. [ Links ]

2. FAO. Panorama de la seguridad alimentaria y nutricional. América Latina y el Caribe. Food and Agriculture Organization of the United Nations (FAO). 2016. [ Links ]

3. MINISTERIO DE SALUD. Encuesta Nacional de Salud 2016-2017. Primeros resultados. Ministerio de Salud (MINSAL) - Gobierno de Chile. 2017. [ Links ]

4. OCDE. Estudios de la OCDE sobre Salud Pública: Chile. Hacia un futuro más sano. Evaluación y recomendaciones. Ministerio de Salud (MINSAL) - Gobierno de Chile. 2019. [ Links ]

5. World Obesity Atlas. World Obesity Federation. London. 2022. [ Links ]

6. Celik O, Yildiz BO. Obesity and physical exercise. Minerva Endocrinol (Torino). 2021; 46(2): 131-44. doi: 10.23736/S2724-6507.20.03361-1. [ Links ]

7. Peng Q, Feng Z, Cai Z, Liu D, Zhong J, Zhao H, et al. The relationship between the CUN-BAE body fatness index and incident diabetes: a longitudinal retrospective study. Lipids Health Dis. 2023; 22(1): 21. doi: 10.1186/s12944-023-01784-5. [ Links ]

8. Kunz HE, Hart CR, Gries KJ, Parvizi M, Laurenti M, Dalla Man C, et al. Adipose tissue macrophage populations and inflammation are associated with systemic inflammation and insulin resistance in obesity. Am J Physiol Endocrinol Metab. 2021; 321(1): E105-E21. doi: 10.1152/ajpendo.00070.2021. [ Links ]

9. Gadde KM, Martin CK, Berthoud HR, Heymsfield SB. Obesity: Pathophysiology and Management. J Am Coll Cardiol. 2018; 71(1): 69-84. doi: 10.1016/j.jacc.2017.11.011. [ Links ]

10. WHO Consultation. Obesity: Preventing and managing the global epidemic - Introduction. Obesity: Preventing and Managing the Global Epidemic. 2000; 894: 1-253. [ Links ]

11. Ortega FB, Sui X, Lavie CJ, Blair SN. Body Mass Index, the Most Widely Used But Also Widely Criticized Index: Would a Criterion Standard Measure of Total Body Fat Be a Better Predictor of Cardiovascular Disease Mortality? Mayo Clin Proc. 2016; 91(4): 443-55, doi: 10.1016/j.mayocp.2016.01.008. [ Links ]

12. Shepherd JA, Ng BK, Sommer MJ, Heymsfield SB. Body composition by DXA. Bone. 2017; 104: 101-5. doi: 10.1016/j.bone.2017.06.010. [ Links ]

13. Scafoglieri A, Clarys JP. Dual energy X-ray absorptiometry: gold standard for muscle mass? J Cachexia Sarcopenia Muscle. 2018; 9(4): 786-7. doi: 10.1002/jcsm.12308. [ Links ]

14. Gomez-Ambrosi J, Silva C, Catalan V, Rodriguez A, Galofre JC, Escalada J, et al. Clinical usefulness of a new equation for estimating body fat. Diabetes Care. 2012; 35(2): 383-8. doi: 10.2337/dc11-1334. [ Links ]

15. Ding C, Chan Z, Magkos F. Lean, but not healthy: the 'metabolically obese, normal-weight' phenotype. Curr Opin Clin Nutr Metab Care. 2016; 19(6): 408-17. doi: 10.1097/MCO.0000000000000317. [ Links ]

16. Geng S, Chen X, Bai K, Ding J, Li H, Shi S. Association of the Clínica Universidad de Navarra-Body Adiposity Estimator With Type 2 Diabetes: A Retrospective Cohort Study. Int J Public Health. 2023; 68: 1606063. doi: 10.3389/ijph.2023.1606063. [ Links ]

17. MINISTERIO DE SALUD. Manual de aplicación de cuestionario F2, Encuesta Nacional de Salud 2016-2017. Ministerio de Salud (MINSAL) - Gobierno de Chile. 2016. [ Links ]

18. MINISTERIO DE SALUD. Sabana Datos oficial ENS 2016-2017. Ministerio de Salud (MINSAL) - Gobierno de Chile. 2018. [ Links ]

19. MINISTERIO DE SALUD. Informe Encuesta Nacional de Salud 2016-2017. Caracterización de la muestra. Ministerio de Salud (MINSAL) - Gobierno de Chile. 2018. [ Links ]

20. MINISTERIO DE SALUD. Guías Alimentarias para la Población Chilena. 2013. [ Links ]

21. Olivares S, Zacarías I, González CG, Villalobos E. Proceso de formulación y validación de las guías alimentarias para la población chilena. Rev chil nutr. 2013; 40: 262-8. doi: 10.4067/S0717-75182013000300008. [ Links ]

22. Armstrong T, Bull F. Development of the World Health Organization Global Physical Activity Questionnaire (GPAQ). J Public Health. 2006; 14(2): 66-70. doi: 10.1007/s10389-006-0024-x. [ Links ]

23. Engin A. The Definition and Prevalence of Obesity and Metabolic Syndrome. Adv Exp Med Biol. 2017; 960: 1-17. doi: 10.1007/978-3-319-48382-5_1. [ Links ]

24. Davila-Batista V, Molina AJ, Vilorio-Marques L, Lujan-Barroso L, de Souza-Teixeira F, Olmedo-Requena R, et al. Net contribution and predictive ability of the CUN-BAE body fatness index in relation to cardiometabolic conditions. Eur J Nutr. 2019; 58(5): 1853-61. doi: 10.1007/s00394-018-1743-9. [ Links ]

25. Ares Blanco J, Valdes Hernandez S, Botas Cervero P, Sanchez-Ragnarsson C, Pujante Alarcon P, Menendez-Torre E, et al. Estimation of body fat mass using the CUN-BAE index and mortality risk by sex in the Asturias Study cohort. Endocrinol Diabetes Nutr (Engl Ed). 2019; 66(8): 487-94. doi: 10.1016/j.endinu.2019.02.008. [ Links ]

26. Vinknes KJ, Nurk E, Tell GS, Sulo G, Refsum H, Elshorbagy AK. The relation of CUN-BAE index and BMI with body fat, cardiovascular events and diabetes during a 6-year follow-up: the Hordaland Health Study. Clin Epidemiol. 2017; 9: 555-66. doi: 10.2147/CLEP.S145130. [ Links ]

27. Mill-Ferreyra E, Cameno-Carrillo V, Saul-Gordo H, Cami-Lavado MC. [Estimation of the percentage of body fat based on the body mass index and the abdominal circumference: Palafolls Formula]. Semergen. 2019; 45(2): 101-8. doi: 10.1016/j.semerg.2018.04.007. [ Links ]

28. Davila-Batista V, Molina AJ, Fernandez-Villa T, Romaguera D, Perez-Gomez B, Vilorio-Marques L, et al. The Relation of CUN-BAE Index with Body Mass Index and Waist Circumference in Adults Aged 50 to 85 Years: The MCC-Spain Study. Nutrients. 2020; 12(4). doi: 10.3390/nu12040996. [ Links ]

29. Martin V, Davila-Batista V, Castilla J, Godoy P, Delgado-Rodriguez M, Soldevila N, et al. Comparison of body mass index (BMI) with the CUN-BAE body adiposity estimator in the prediction of hypertension and type 2 diabetes. BMC Public Health. 2016; 16: 82. doi: 10.1186/s12889-016-2728-3. [ Links ]

FINANCIACIÓNLos/as autores/as declaran que no ha existido financiación para realizar este estudio.

CITAMartorell M, Barrientos D, Ramírez-Alarcón K, Nazar G, Troncoso-Pantoja C, Concha-Cisternas Y, Díaz-Toro F, Leiva AM, Parra-Soto S, Petermann-Rocha F, Celis-Morales C, Labraña AM. Correlación entre CUN-BAE, índice de masa corporal y circunferencia de cintura en adultos chilenos: Resultados de la Encuesta Nacional de Salud 2016-2017. Rev Esp Nutr Hum Diet. 2024; 28(2): 124-34. doi: https://doi.org/10.14306/renhyd.28.2.2076

Recibido: 14 de Noviembre de 2023; Aprobado: 14 de Febrero de 2024; : 02 de Junio de 2024

* mmartorell@udec.cl

#

MM y DB contribuyeron de igual forma a este manuscrito y son considerados primer autor compartido.

Editor Asignado

Ashuin Kammar-García Instituto Nacional de Geriatría Ciudad de México, México

CONFLICTO DE INTERESES

Los/as autores/as expresan que no existen conflictos de interés al redactar el manuscrito. C.T.-P. y F.P.-R. pertenecen al comité editorial de la RENHyD.

CONTRIBUCIÓN DE AUTORÍA

M.M., D.B., C.C.-M. y A.M.L. contribuyeron a la creación y diseño del estudio, diseñaron el plan estadístico e interpretaron los datos. D.B. escribió el primer borrador con la ayuda de M.M. Todos los autores revisaron críticamente esta y las versiones anteriores del documento.

Creative Commons License Este es un artículo publicado en acceso abierto bajo una licencia Creative Commons