Introducción
Los accidentes de tránsito representan uno de los problemas sanitarios con mayor incidencia en países en desarrollo(1), por ello, algunas instituciones de salud la ubican dentro de sus prioridades en investigación(2).
En el Perú, los accidentes de tránsito en la red vial nacional aumentaron a 5,449 en el año 2022(3). En este caso, se ha identificado que la ciudad de Lima, capital del territorio peruano, es donde ocurre la mayor cantidad de accidentes representando el 18,54%, seguido de la región de Arequipa con un 10,20%, y también, figura la región de Puno con un 7,23%, ya que los reportes revelan que existe alta imprudencia por parte de los conductores, tales como como conducir en estado de ebriedad, exceso de velocidad, negligencia y exceso de confianza(4). En comparación a otros países de la región Latinoamericana, Perú tiene la mayor tasa de accidentes de tránsito (40,2%), seguido de países como Bolivia (33,1%), Ecuador (31,0% y Colombia (28,4%).
Dentro de las diversas causas identificadas detrás de los accidentes de tránsito, la literatura da cuenta de la importancia del control de las emociones, específicamente la ira(5). Según lo encontrado en investigaciones previas, el control de la ira al volante posee implicaciones importantes en la prevención de accidentes de tránsito(6). Por ello, los expertos manifiestan que un mal manejo de la ira por parte de los conductores representa un problema grave en el ámbito de la salud pública, debido a sus consecuencias mortales y a factores asociados como la baja calidad de sueño, control de impulsos y la frustración(7).
A partir de investigaciones previas, como una realizada en Irán con 1035 conductores, se pudo concluir que utilizar el vehículo para expresar enfado puede aumentar significativamente la probabilidad de sufrir un accidente(5). En otros estudios se enfatiza que son los conductores de género masculino de grupo etario más joven, quienes utilizaron más expresiones de ira y pensamientos de enojo(8). Por otro lado, en China, también se realizaron estudios de carácter explicativo, uno de ellos realizado con 1974 conductores que logró explicar que los comportamientos de conducción aberrantes mediaban los efectos de la ira al conducir sobre el riesgo de accidentes viales(9). No obstante, un estudio determinante es aquel que analizó la influencia de la personalidad y la ira sobre los estilos de conducción arriesgado en sentenciados por el delito contra la seguridad vial en España. En este caso, quedó demostrado que el rasgo agresión-hostilidad fue un determinante para elevar los niveles de ira al conducir(10).
Dada la importancia de evaluar la ira en los conductores, es vital contar con instrumentos de medición válidos y a su vez confiables. Al respecto, la literatura científica da cuenta de la existencia de instrumentos para evaluar la ira en la conducción, por ejemplo, una investigación desarrollada con conductores de España evidenció la validez y confiabilidad de la escala de ira en la conducción (DAS), que consta de 14 ítems en su versión corta(11). Por otro lado, en el contexto latinoamericano, también se exploraron las propiedades psicométricas de instrumentos para tal fin, por ejemplo, una investigación realizada con 378 conductores argentinos, ayudó a examinar las propiedades psicométricas de una escala que evalúa cinco modos de expresión de la ira experimentada al volante (DAX), y que estuvo compuesta por 53 ítems(12). Por último, también se tiene el estudio realizado por Kamarudin et al.(13) quienes analizaron la relación entre la ira del conductor con los niveles de sueño en una población de Malasia.
En el caso del contexto peruano aun no existen medidas con características psicométricas adecuadas para estudiar la ira en la conducción. Es por ello que los investigadores de la presente pretenden estudiar las propiedades psicométricas de la escala de ira en conductores (DAS) (14), que ya se encuentra traducida al español. A diferencia de otras, esta versión ha demostrado un buen rendimiento psicométrico en diversos países como España(15), Argentina(16), México(17), China(18), Turquía(19), Malasia(20), entre otros. Por ende, esta prueba se presenta como una alternativa ideal debido a que es breve y de fácil aplicación, convirtiéndola en una alternativa viable para una adaptación cultural en tiempo y contexto al español que se habla en Perú.
Por todo lo mencionado, el objetivo de este estudio es validar una escala para evaluar la ira que experimentan los conductores en diversas situaciones de tráfico en el sur del Perú (EIC-Per).
Material y Métodos
Método
Corresponde a un estudio instrumental de corte transversal, dado que se analizan las principales propiedades psicométricas de un instrumento de medición documental.
Participantes
La población de este estudio estuvo conformada por la totalidad de conductores de tres empresas de transporte interprovincial en el departamento de Puno, que se encuentra al sur del Perú. En este caso, participaron voluntariamente 320 conductores de transporte publico de ambos sexos (96,6% hombres), de entre 26 a 35 años de edad (ME=2,49; DS=,983). Estos fueron seleccionados bajo un muestreo no probabilístico a conveniencia intencional, aplicando criterios de inclusión como ser mayor de edad (> 18 años), tener una licencia de conducir vigente, aceptar el consentimiento informado. De igual modo, criterios de exclusión como tener menos de 18 años de edad, con licencia de conducir en proceso de aprobación y no haber completado todo el formulario.
Instrumentos
El instrumento objeto de la adaptación es la escala de ira en la conducción, cuyos autores originales son Deffenbacher et al.(14). Esta medida consta de 53 ítems y 6 dimensiones, con opciones de respuesta están escaladas en formato Likert: siempre, casi siempre, algunas veces, rara vez y nunca. Existe una versión corta de 14 ítems (03 dimensiones) traducida al español por Herrero(15), la cual fue validada en Latinoamérica en un estudio realizado con conductores argentinos(16). En cuanto a sus propiedades psicométricas, en la versión traducida al español la validez basada en el contenido a través del índice V de Aiken fue favorable (V > 0,70), asi como la confiabilidad a través del coeficiente Alpha de Cronbach: factor Ira ante avance impedido por otros (α = 1 ; IC 95% = 0,95), Ira ante la hostilidad (α = 0,61; IC 90% = 0,72) e Ira ante la conducción temeraria (α = 0,50; IC 90% = 0,90).
Procedimientos
El estudio fue aprobado por el comité de ética de la Universidad Peruana Unión con número de referencia 2023-CEUPeU-004, además, también se solicitó la autorización a los autores originales de la prueba para la adaptación correspondiente. En este caso, la investigación se realizó en el mes de octubre del año 2023. La recolección de datos se realizó a través de la técnica de la encuesta presencial. Antes de presentar el cuestionario, los participantes dieron su aprobación a través de un consentimiento informado en el que se les informó el propósito del estudio, enfatizando que la participación fue voluntaria, anónima y confidencial, seguido del cuestionario demográfico y, por último, se presentaron los ítems de la escala. La aplicación de las encuestas tuvo una duración de 10 minutos. Posterior a la aplicación, se hizo el control de calidad de los datos y se tabuló en una matriz de Microsoft Excel.
Análisis estadístico
Para analizar la estructura interna se recurrió al análisis factorial confirmatorio (AFC). El estimador usado fue el de mínimos cuadrados ponderados con media y varianza ajustadas (WLSMV), procedimiento recomendado para variables ordinales. Para esto se plantearon parámetros para evaluar los índices de bondad de ajuste del índice de ajuste comparativo (CFI >90), el error cuadrático medio de aproximación (RMSEA) y la raíz media cuadrática residual estandarizada (RMR). En este caso, los valores se interpretan en función de CFI > 0,90 como evidencia favorable de ajuste al modelo, así como de RMSEA > 0,080 y SRMR < 0,080. Por último, se analizó la confiabilidad a través del método de consistencia interna (Alfa de cronbach). Donde un valor <.90 es indicador de buen nivel de fiabilidad
Todo el análisis sociodemográfico y el análisis preliminar de los ítems se calcularon en el sofware SPSS versión 23, finalmente, la estructura interna se analizó en IBM SPSS AMOS versión 23.
Resultados
En la Tabla 1 se observan los resultados el coeficiente V de Aiken. Esto es producto de la evaluación de 6 jueces expertos, quienes evaluaron la claridad, relevancia y representatividad de cada ítem. En este caso, se observa que los ítems más relevantes y representativos son 2,4,7,813 y 14 (V= 1,00; IC 95% = 0,82 - 1,00), en cambio los más claros son 4,7 y 8.
Tabla 1. V de Aiken para la evaluación de la relevancia, representatividad y claridad de los ítems de la EIC-PER.

aMedia
bDesviación estándar
cCoeficiente V de Aiken
dIntervalos de confianza
cCoeficiente V de Aiken
dIntervalos de confianza
En cuanto al análisis preliminar de los ítems, la Tabla 2 indica que el ítem 3 tiene el mayor puntaje promedio (ME=3,47) y el ítem 4 tiene la mayor dispersión (DS=1,311). En cuanto a los límites de asimetría y curtosis, los resultados indican que no exceden el parámetro +/- 1,5 recomendado, por tanto, se asume que los datos siguen una distribución normal.
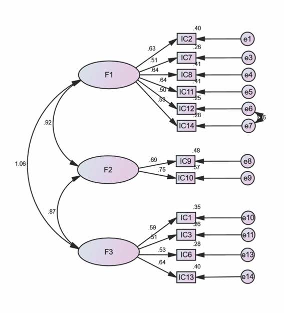
Con respecto a los resultados del análisis factorial confirmatorio, se evaluó la estructura original de tres factores correlacionados (Figura 1) y no se obtuvo índices de ajuste favorables. Es por ello que se procedió a realizar una re especificación del modelo, donde se eliminaron los ítems 4 y 5 debido a su baja carga factorial, de esta manera se pudo evidenciar la validez de constructo: x2= 133,439; gl=50, p < 0,000; CFI = 0,930 y TLI = 0,907, RMSEA = 0,972. y RMR = 0,069.
Por último, la versión de 12 ítems presenta cargas factoriales adecuadas, las cuales se encuentran entre 0,51 y 0,75. De igual modo la correlación entre las dimensiones es altamente significativa (r > 0,50; p < 0,05 ) y el grado consistencia interna de las dimensiones resulta entre los valores de Alpha de Cronbach 0,95 y 0,90. (Tabla 3).
Discusión
En los últimos años, los accidentes de tránsito han aumentado significativamente generando graves repercusiones para la salud publica en el Perú. Dado que este problema es considerado una prioridad de investigación(2), la comunidad científica viene enfocando su atención en investigar cuales son las causas. Es en este escenario que entre en juego una variable considerada determinante, como es el control de la ira al volante(6), ya que se ha descubierto que no gestionar adecuadamente la ira mientras uno conduce tiene consecuencias mortales para conductores y pasajeros(7). Frente a esta problemática, es necesario contar con instrumentos válidos y confiables para evaluar la magnitud del problema, por ello, se tuvo como objetivo validar una escala para evaluar la ira que experimentan los conductores en diversas situaciones de tráfico en el sur del Perú (EIC-Per).
Los hallazgos de esta investigación confirman los sólidos atributos psicométricos de la EIC-Per, que mide la ira en la conducción en conductores peruanos con 12 ítems en tres factores. Un resultado importante de este estudio es el procedimiento metodológico riguroso, esto debido a la evaluación de los expertos con respecto a los criterios de claridad, representatividad y relevancia. Esta evaluación fue cualitativa, y los comentarios llevaron a confirmar la estructura del cuestionario, además que todos los ítems recibieron una evaluación positiva(21).
A través del AFC se decidió eliminar dos ítems por lo cual el instrumento quedo con 12 ítems, los cuales se ajustaron satisfactoriamente a un modelo de tres factores: Ira ante avance impedido por otros, Ira ante la hostilidad directa e Ira ante la conducción temeraria. Las cargas factoriales oscilaron entre un mínimo de 0,51 y 0,75. Este resultado se encuentra alineado con el modelo teórico principal que sustenta la construcción de esta escala(11,14,16).
En general, según los hallazgos encontrados se puede asumir que la escala de ira en conductores demuestra poseer evidencias psicométricas aceptables, es decir que, se debe interpretar a esta escala como un instrumento compuesto por 12 ítems distribuidos en 3 factores, lo cual lo convierte en una medida de fácil aplicación en contextos donde se requiere evaluar el control de la ira en conductores.
Esta investigación representa un aporte importante ya que es la primera versión validada y que puede ser utilizada para medir la ira en la conducción en el contexto peruano, y que es similar a otros instrumentos de ira en la conducción que presentan un modelo de tres factores(22,23,24). Aunque diferente a otros instrumentos que identifican hasta 6 dimensiones(12,14). En este sentido, la relevancia de la adaptación realizada se da en función de comprender que los conductores varían su comportamiento en base a su estado de ánimo o emociones(25,26). Asimismo, se analizó la confiabilidad del cuestionario en sus tres factores reportándose un coeficiente de Alpha de Cronbach entre 0,95 y 0,90 que cumple con el criterio de confiabilidad recomendado(27).
Entre las implicancias de esta investigación los resultados muestran que la adaptación realizada en Perú fue adecuada y que se ha desarrollado un instrumento válido para medir la ira en conductores peruanos. Además, que el instrumento presentado es una herramienta clave para la investigación e intervención psicológica, a diferencia de otros instrumentos que miden la ira en conductores en otros contextos(12,19). Este cuestionario se aplica específicamente al contexto peruano y ayuda a sus usuarios a entender aún más los tipos de conductores que probablemente se enojaran mientras conducen, las situaciones más propensas a desencadenar la ira y los peligros potenciales de la ira(25). Los psicólogos, autoridades públicas del área de transporte pueden investigar relaciones entre la ira y la conducción y su relación con los accidentes de tránsito(28), conducta compulsiva(29), genero(30), entre otros.
Esta investigación presenta algunas limitaciones a considerar. Primero que la muestra corresponde solo a conductores peruanos del departamento de Puno, por lo que es recomendable realizar estudios similares con mayores muestras de otras regiones del Perú. Asimismo, al tratarse de un autoinforme, existen riesgos de sesgos de fuentes.
En conclusión, este estudio reporta que la EIC-Per aplicada a conductores peruanos demuestra adecuadas propiedades psicométricas, lo que la convierte en una alternativa interesante para explorar los factores relacionados a la ira en la conducción. Debido a la claridad, relevancia y representatividad de los 12 ítems y tres factores, se asegura una evaluación precisa de la ira en la conducción. Dada su estructura interna, esta escala se presenta como una medida breve de fácil aplicación para conductores peruanos y que por su nivel de confiabilidad se puede confiar en los resultados obtenidos. Sin embargo, es necesario una mayor investigación para implementar otros tipos de evidencia como invarianza de medición o sensibilidad de la prueba. Asimismo, es importante incluir una muestra más amplia que corresponda a todas las regiones geográficas del Perú.
















