Introducción
Durante el año 2020 a nivel mundial, el Cáncer de Páncreas (CP) ocupó la duodécima posición entre los cánceres más comunes, siendo uno de sus rasgos más relevantes su elevada letalidad, con una supervivencia neta estandarizada por edad a los 5 años del 7% para varones y del 10% para mujeres1. A nivel general y en estudios realizados hasta el año 2010, las cifras de afectación del CP fueron un 50% mayor en hombres que en mujeres2. La edad media de diagnóstico fue de 70 años3. Las tasas de incidencia más altas para CP en 2022 se observaron en Europa y Estados Unidos principalmente, con una tasa estandarizada por edad de 7,5-11,4 por 100.000 habitantes, mientras que las tasas más bajas se observaron en países de África y Asia con 1,5-2,8 por 100.000 habitantes. En nuestro país el CP fue el 7º cáncer más diagnosticado en 2022, con un total de 9.252 casos1. Las regiones con exceso de riesgo se distribuyen principalmente a lo largo de la cornisa cantábrica1.
La etiología del CP no es del todo conocida. Se cree que los factores genéticos pueden ser responsables de un pequeño porcentaje del total de los casos, la mayoría, se han atribuido a factores no genéticos como el tabaquismo y la exposición a productos químicos y metales pesados, enfermedades benignas como Diabetes Mellitus (DM), pancreatitis crónica y factores dietéticos2. El papel de la exposición ambiental a productos químicos y metales pesados en la etiología de la enfermedad sigue sin estar claro2. En cuanto a la exposición laboral, se le atribuye como mínimo un 4% de la totalidad de la etiología de los cánceres2. Los agentes químicos más frecuentemente relacionados con el cáncer de origen laboral según la bibliografía revisada son los aceites minerales, las aminas aromáticas, el amianto, los compuestos de cromo, las emisiones de los motores diésel (ED), los hidrocarburos aromáticos policíclicos (HAP) y la sílice. Respecto a la intervención de estos productos en una posible génesis del CP los hallazgos observados son contradictorios, para los mismos agentes, mientras algunos estudios muestran aumentos de riesgo4,5,6,7, otros presentan resultados estadísticamente no significativos8,9,10,11,12,13. Tradicionalmente la aparición de CP en el medio laboral se ha asociado con el ejercicio de ciertas ocupaciones como la impresión y elaboración de papel, mecánica, transporte, minería, construcción, industria del petróleo, goma, limpieza en seco, teñido de pieles, metalurgia y producción y uso de productos fitosanitarios14.
De los agentes químicos relacionados en la bibliografía con el CP, el Cromo, los HAP, las Aminas y la Sílice se encuentran en el Anexo I del Cuadro de Enfermedades Profesionales, aunque actualmente ninguno de estos productos se ha relacionado con el CP. Según el informe sobre exposición laboral a cancerígenos en España en el año 2004 (último informe disponible), elaborado mediante el sistema CAREX Esp15, se estima que en España existen más de 5 millones de trabajadores expuestos a los agentes cancerígenos que la IARC clasifica en los grupos 1, 2A y 2B16. A pesar de esto, según las estadísticas oficiales del Ministerio de Trabajo y Seguridad Social, las enfermedades laborales apenas existen en España, en el año 2023 se diagnosticaron 8887 enfermedades profesionales, de ellas únicamente 94, fueron cánceres de origen laboral16,17.
Son evidentes las carencias de la investigación en salud laboral de nuestro país, por lo que resultan de gran interés todos aquellos estudios que puedan ayudar a enriquecer este campo escasamente explorado. A partir de esta información, contradictoria y escasa, queremos valorar y cuantificar si la población trabajadora de Asturias expuesta a los agentes químicos anteriormente descritos en su ambiente laboral, tiene un aumento de riesgo de padecer CP, determinando en qué actividades económicas y/o ocupaciones hay mayor riesgo, lo que contribuiría a aumentar la escasa información disponible sobre el tema tanto a nivel nacional como internacional.
Material y Métodos
Se realizó un estudio observacional de tipo casos y controles, según las recomendaciones STROBE. Los criterios de inclusión para la selección de los casos fueron pacientes con diagnóstico de CP (clasificado según el Código de registro Internacional (CIE 10) con el número C-25 (cáncer exocrino y endocrino de cabeza, cuerpo y cola)) en todo el Principado de Asturias, España, entre el 1 de enero de 2014 y el 31 de diciembre de 2019. Mientras que los criterios de inclusión para los controles fueron familiares de primer o segundo grado de cada caso, sin diagnóstico de CP que aceptaron participar en el estudio y realizar una entrevista telefónica, emparejados por edad (+/- 5 años) y sexo biológico. Al establecerse previamente este periodo de estudio con un amplio número de casos, no se calculó tamaño muestral.
Una de las principales dificultades de este estudio fue la selección de los controles para evitar posibles sesgos de selección y factores de confusión. Se debe tener en cuenta que los casos que se incluyeron en el estudio son el total de los casos ocurridos, por ello no existe sesgo de selección de caso. En referencia a la selección de controles, rechazaron participar el 13% de los familiares con los que contactamos. Se excluyeron los controles y los casos de aquellos familiares validados como controles de CP que no quisieron participar en la entrevista telefónica, ya que eran una de las fuentes de información. El total de los casos había fallecido en el momento de la entrevista. La base de datos fue creada por un único investigador, evitando sesgos de selección de la información. Pudo darse la situación de que algún familiar trabajara en la misma empresa que el caso y por lo tanto tuviera más conocimientos sobre las preguntas realizadas.
Para conocer la exposición real de los trabajadores, se realizó una consulta vía e-mail sobre el empleo de productos químicos (no se solicitaron datos de carácter confidencial sobre la Vigilancia de la Salud de los trabajadores), a las principales empresas del Sector Químico en Asturias. Cabe resaltar que este estudio se basó en la información clínica del paciente (mediante revisión de historias clínicas (HC)) y las entrevistas con sus familiares, no teniéndose en cuenta aspectos relativos a la Higiene Industrial de los lugares de trabajo. Para valorar la exposición ocupacional se utilizaron de forma adaptada las preguntas de otros cuestionarios de estudios sobre cáncer de origen profesional en nuestro entorno, como el MCC Spain18,19,20. El cuestionario (Figura 1) utilizado constaba de una primera parte sobre datos de afiliación, fecha de nacimiento, (edad al diagnóstico, que se categorizó en franjas de 10 años, desde los 40 a los 90 años de edad y también menores de 40 años y mayores de 90 años), sexo biológico (femenino y masculino), zona de residencia habitual, (Área Sanitaria (AS), se refiere a la forma de organización territorial en el Principado, con ocho áreas sanitarias), e información clínica sobre hábitos tóxicos (consumo de tabaco y alcohol21,22 antecedentes personales y familiares de enfermedades, y una segunda parte con preguntas dirigidas, principalmente con respuestas cerradas sobre ocupación laboral más duradera (codificada según la Clasificación Nacional de Ocupaciones (CNO11)23, estado laboral actual al diagnóstico, conocimiento sobre exposición a agentes químicos en el puesto de trabajo, tiempo y tipo de exposición laboral y uso de equipos de protección personal, (principalmente uso de máscaras autofiltrantes). Toda la información obtenida se trató de manera confidencial.
Posteriormente se realizó un análisis descriptivo proporcionando distribuciones de frecuencias relativas y absolutas para variables cualitativas, y medidas de posición y dispersión para las cuantitativas. La asociación entre variables cualitativas se estudió con el test Chi cuadrado de Pearson o con el test de Fisher, según se cumpliese o no la hipótesis sobre frecuencias esperadas. Para minimizar el riesgo por los factores de confusión, en la etapa de análisis se construyen modelos de regresión logística binaria para estudiar los agentes químicos asociados a priori a la enfermedad según los factores de confusión registrados (tabaco, edad y sexo biológico). El análisis estadístico se efectuó mediante el programa R (R Development Core Team), versión 4.1.324. El estudio fue aprobado por el Comité de Ética de la Investigación del Principado de Asturias (cód CEImPA 2020.392).
Resultados
Se revisaron un total de 1277 HC, que se clasificaron como 684 casos y 593 controles. La franja de edad más frecuente al diagnóstico fue la comprendida entre los 61 y 80 años. La distribución por sexo de CP fue mayor en hombres (59.9%) que en mujeres (40.1%). La mayoría de los casos, se encontraron en pacientes cuyo domicilio habitual estaba en el AS IV (Oviedo), seguidos por las AS V (Gijón) y III (Avilés). Se comparó la incidencia por área sanitaria, no apreciando diferencias significativas (p=1). El 91.74% de los casos que fueron quirúrgicos presentaron una histología compatible con un adenocarcinoma ductal. El 7.6% de los casos tuvo antecedentes familiares de CP en familiares de primer grado: padres, hermanos o hijos. (Tabla 1)
No se encontraron asociaciones entre el antecedente personal de hipertensión (HTA), de dislipemia (DL), ni entre el consumo de alcohol, con la probabilidad de enfermar de CP. Mientras que sí se encontraron asociaciones positivas al estudiar la relación entre la posibilidad de enfermar de CP y el diagnóstico de DM, el diagnóstico previo de pancreatitis y el consumo de tabaco. (Tabla 2) En cuanto a la exposición laboral a agentes químicos y la aparición de CP, se encontró una asociación positiva en el caso de las aminas, el cromo, los aceites minerales y los HAP. Por el contrario, no se encontró asociación entre el CP y la exposición laboral a amianto, ED y sílice. (Tabla 2) Así mismo se estudió la relación entre la duración de la exposición laboral en años y la clasificación de los individuos en el grupo de casos y controles, obteniéndose una asociación positiva. Mientras que no se encontró asociación entre el uso de equipos de protección individual (EPI) y la presencia o no de enfermedad. (Tabla 2) Se analizó también la relación entre las distintas ocupaciones, identificadas con los códigos CNO11 y la aparición del CP, obteniéndose una asociación positiva, (test de Fisher, p-valor=0.005). Se observa por ejemplo que en las ocupaciones 73, 75 y 81 hay más casos que los que debería haber si fueran variables independientes (asociación significativa (p<0.05)). (Tabla 3)
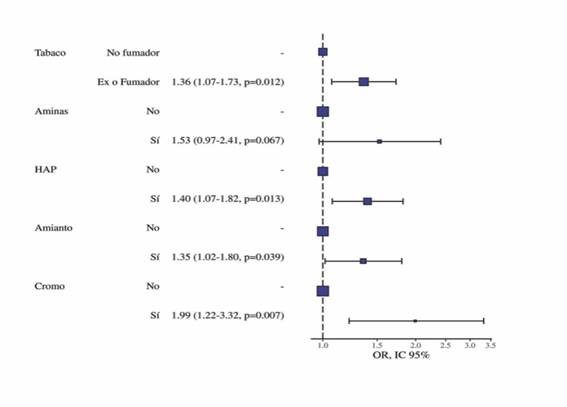
A continuación, se calculó el riesgo de enfermar de CP al estar expuesto a cualquier agente de los identificados en el estudio, incluido el tabaco, obteniéndose una OR (2.14, IC 95% (1,55-2,98)). De forma que estar expuesto a dichos agentes químicos aumentó 2,14 veces el riesgo de enfermar de CP. Posteriormente se construyeron modelos de regresión logística binaria para estudiar los factores asociados a la enfermedad, considerando como posibles predictoras la exposición a aminas, HAP, amianto, cromo, aceites minerales, sílice, y ED, también se incluyó al tabaco como agente tóxico, y se ajustó por sexo biológico y edad al diagnóstico. Primero se realizó de forma univariante y después multivariante, incluyendo todas las variables anteriores de forma simultánea, simplificando el modelo mediante un algoritmo de selección paso a paso. Finalmente aparecen las aminas (no significativa pero muy cerca del nivel fijado), el amianto, los HAP y el cromo como factores de riesgo, junto con el tabaco. (Tabla 4 y Figura 2) Por lo tanto, estar expuesto a estos agentes, incrementa de forma significativa la probabilidad de enfermar.
Discusión
Con este estudio caso-control retrospectivo se pretende demostrar que la exposición a determinados agentes químicos en el entorno laboral puede aumentar el riesgo de padecer CP. Como parte de los hallazgos más significativos del estudio, aparecieron las aminas, el amianto, los HAP y el cromo como factores de riesgo, junto con el tabaco. Por lo que estar expuesto a estos agentes, incrementó de forma significativa la probabilidad de enfermar. Así mismo encontramos una mayor probabilidad de enfermar de CP en aquellos pacientes que trabajaron en soldadura y calderería, electricidad y minería. En estas ocupaciones, los trabajadores estuvieron expuestos principalmente a aceites minerales4,23,25, aminas8,9,10, cromo5,11, e HAP11,12. Los hallazgos coincidieron con la bibliografía revisada sobre el tema, donde se hallaron excesos de riesgo de CP en expuestos a tintes y anilinas (aminas aromáticas)8,9,10 y entre el personal expuesto a amianto10. Cabe resaltar que los hidrocarburos son uno de los factores de riesgo ocupacional más investigados y establecidos para el CP11 y nuestros hallazgos también fueron coincidentes en este aspecto. Respecto al cromo, también se obtuvieron tendencias positivas en varios estudios11,12.
Respecto a otros datos del estudio, la mayor parte de los casos se dieron en pacientes de edad más avanzada, siendo más frecuente en el sexo biológico masculino2. Las áreas sanitarias con mayor número de casos fueron las áreas centrales de Asturias (AS III, IV y V). El tipo histológico más frecuente en el estudio, fue el adenocarcinoma ductal, coincidiendo con los hallazgos bibliográficos26. Se encontraron asociaciones positivas entre la posibilidad de enfermar de CP y el diagnóstico de DM, el diagnóstico previo de pancreatitis y el consumo de tabaco, teorías apoyadas por la bibliografía actual. Así mismo y como cabía esperar los trabajadores expuestos laboralmente a agentes químicos durante más tiempo (>30 años), tuvieron mayor riesgo de desarrollar la enfermedad, lo que concuerda con la dureza de las condiciones de trabajo que mantenían al operario durante su vida laboral en el mismo puesto, hecho que no se observa en la actualidad, ya que por regla general suele haber rotaciones o cambios por promociones. No se encontraron asociaciones entre el antecedente personal de HTA, DL, ni entre el consumo de alcohol, con la probabilidad de enfermar de CP, a pesar de que tradicionalmente se ha asociado con las alteraciones dietéticas o el consumo de alcohol2. Tampoco se encontró asociación entre el uso de equipos de protección individual (EPI) y la presencia o no de enfermedad, este hallazgo puede no ser muy fiable ya que la recogida de la información fue muy inespecífica al ser aportada por los familiares.
Cabe resaltar que se revisó el dossier anual que publica el OCTPA (Observatorio Condiciones de Trabajo del Principado de Asturias), donde no aparece ninguna declaración de enfermedad profesional que coincida con el diagnóstico de CP. También se consultó el registro CEPROSS (Comunicación de enfermedades profesionales de la Seguridad Social) de nuestra comunidad, donde tampoco hubo ninguna investigación de enfermedad profesional por CP en el periodo que abarcó nuestro estudio.
Los resultados obtenidos deben interpretarse en el contexto de varias limitaciones. Se valoró la posibilidad de tomar más de un control por cada caso para aumentar la potencia estadística del estudio, pero finalmente se desestimó la idea debido a la existencia de un único entrevistador. Puede haber existido un sesgo en la precisión de los datos sobre hábitos tóxicos, ya que esta información dependió de lo que el familiar refirió fundamentalmente, aunque se comprobó con la información que estaba recogida en la HC y resultó ser concordante en la mayoría de los casos. También es posible que a la hora de datar los familiares sus propios hábitos tóxicos, no hayan facilitado sus consumos reales, tendiendo a ser éstos infravalorados (aunque también fueron comparados con los datos recogidos en la HC). Lo mismo ocurre con los datos de origen laboral, puede ser que no recordaran con exactitud las cuestiones sobre las que se les preguntó (sesgo de memoria) o que desconocieran los hechos, siendo las respuestas muy amplias, lo que puede haber empobrecido los hallazgos del estudio. Hay que recordar que los datos laborales no estaban presentes en la HC electrónica y al haber fallecido los casos no hubo otra posible fuente de información. El hecho de que los agentes químicos estudiados se hayan obtenido de una revisión bibliográfica y no de la entrevista con el propio trabajador afectado también supone una de las limitaciones del estudio, ya que los datos son muy generales y no hemos podido establecer agentes concretos, sino grupos de productos. Estas limitaciones nos han llevado a la idea de realizar un nuevo estudio en el que la entrevista laboral se realice al paciente recientemente diagnosticado de CP, de forma que las respuestas sobre manipulación de agentes químicos, tiempo de exposición, uso de EPI y realización de Vigilancia de Salud sean mucho más precisas.
La muestra de pacientes con la que trabajamos fue grande, siendo éste uno de los puntos fuertes del estudio. Hubo una pequeña diferencia entre el número total de casos y controles debida a la negativa de algunos familiares a realizar su propia entrevista personal tras finalizar la realizada sobre su familiar fallecido afecto de CP, atribuida esta causa principalmente a falta de tiempo.
Para evitar conflictos de intereses, aunque en las entrevistas realizadas se recogieron los nombres de las empresas en las que habían trabajado los casos, no se trascribieron al estudio. Como apoyo a las fuentes de información bibliográfica se realizó una consulta vía e-mail sobre el empleo de productos químicos y su tiempo de uso en años, a las principales empresas del Sector Químico en Asturias sin obtener contestación de ninguna de ellas, por lo que finalmente se utilizaron datos generales sobre el uso de productos químicos de sus páginas web.
Se ha puesto de manifiesto el importante nivel de desconocimiento que existe a nivel sanitario sobre las enfermedades profesionales. Por ejemplo, en la mayoría de los informes clínicos revisados en las HC no hay ninguna referencia a los antecedentes laborales del enfermo, ni se recogen datos como tiempo de duración del empleo, exposición a agentes cancerígenos, uso de EPI o realización de vigilancia de la salud por parte del empresario.
Esta investigación surge como el primer estudio realizado en Asturias sobre exposición laboral a agentes químicos. Las asociaciones encontradas están de acuerdo con otros resultados de estudios realizados sobre exposición laboral y cáncer2,3,4,5,6,7,8,9,10,11,12,13,14,19,20,25. A pesar de las limitaciones del estudio, los aumentos de riesgo observados en pacientes expuestos a aminas, amianto, HAP y cromo pueden merecer una mayor atención y la realización de más estudios sobre el tema.
Agradecimientos
Deseo expresar mi agradecimiento más sincero a Alberto Miyar de León, Facultativo responsable de la Unidad de Cirugía Pancreática del Hospital Universitario Central de Asturias, por facilitarme inicialmente el acceso a los datos de los pacientes. A los trabajadores de los Servicios de Informática y Codificación del Hospital Universitario Central de Asturias (Oviedo), del Hospital de Cabueñes (Gijón) y del Hospital San Agustín (Avilés) por su amabilidad y colaboración. A Tania Iglesias Cabo, de la Unidad de Consultoría Estadística de los Servicios Científico-Técnicos de la Universidad de Oviedo. Y a todos los pacientes fallecidos de Cáncer de Páncreas y a todos sus familiares, ya que su colaboración ha hecho posible este estudio.



















