Introducción
Es una realidad que la tecnología, se ha convertido en una parte casi que esencial en la vida del ser humano, ha permitido que con un solo clic se pueda tener acceso a la información de manera inmediata, acortando distancias y permitiendo encontrar cada día nuevas y más eficaces formas para comunicarnos.
Es por esto que, en el campo de la medicina cada día es más común hablar o concebir la idea de poder recibir atenciones haciendo uso de la virtualidad, empleando todas aquellas herramientas dispuestas para que las personas tengan la opción de recibir atención médica de forma no presencial, ya que a causa de distintos factores como por ejemplo horarios de trabajo extensos, tiempos prolongados de desplazamiento, los pacientes presentan mayores dificultades para acudir a sus citas médicas, priorizando atenciones urgentes, contribuyendo significativamente en la calidad de vida1.
Este panorama también se repite en el campo de la consulta Psicológica, puesto que a través de los años se ha demostrado la efectividad de la atención virtual, es un hecho que es posible extrapolar el uso de los recursos tecnológicos y la virtualidad con el fin de realizar atenciones psicológicas de forma no presencial. Siempre y cuando se tengan en cuenta los elementos que conforman el examen mental, obtenidos a través de la observación del sujeto, haciendo uso de elementos audiovisuales.
A lo largo del tiempo se ha propuesto utilizar una nomenclatura estandarizada para referirse al uso del internet y medios electrónicos en la atención psicológica, sin tener éxito hasta el momento, lo cual incluso ha permitido el uso de los modos sincrónico y asincrónico, pudiendo alojar programas de autoayuda y pruebas psicológicas en línea2.
Data la historia del primer acercamiento a la consulta no presencial desde el uso de cartas con fines terapéuticos por parte de Freud, seguido de teleconsulta en el año de 1.959 en una facultad de medicina en la Universidad de Nebraska, con un experimento para realizar atenciones por circuito cerrado de televisión a pacientes alojados en el Instituto Psiquiátrico de Nebraska y el Hospital Estatal de Norfolk2.
Posteriormente, con el auge de las computadoras Weizenbaum decidió crear “Eliza” en la década de 1.960, el cual era un programa de computadora que intentaba simular una conversación que se podría tener con una psicoterapeuta, donde utilizaba una interfaz interactiva que permitía al usuario escribir respuestas a las preguntas generadas por el software, por lo que se podría considerar el primer chatbot para simular una conversación3. Luego, con la evolución del campo cibernético, también se desarrolló la “terapia basada en internet”, convirtiéndose en una herramienta que complementa recursos terapéuticos como la psicoeducación3.
En este mismo país, se propuso evaluar una muestra nacional de psicólogos y estudiantes con el fin de identificar la opinión frente a la atención e intervención de la salud mental a través de la tecnología. Éste, permitió realizar un análisis a gran escala de la influencia de la orientación teórica en el respaldo de la práctica. Los resultados evidenciaron un interés significativo en la telesalud para los psicólogos actuales y futuros, con énfasis en las intervenciones basadas en cámaras web para los trastornos de ansiedad y depresivos; resaltando la necesidad de una capacitación continua en intervenciones psicológicas y desarrollos tecnológicos, con el propósito de estar a la vanguardia para la atención virtual4. Sin embargo, los hallazgos de la investigación plantearon una perspectiva positiva respecto a continuar proporcionando evidencia a favor o en contra del uso de la “telesalud” y centrar la práctica en determinar la «mejor opción» para clientes y situaciones específicas.
De acuerdo con un estudio realizado en España en el 2008, se inició el tratamiento para fobias específicas demostrando ser eficaz para tratar una variedad de problemas psicológicos, empleando la realidad virtual que, por medio del uso de un software y un hardware, que estimulan los órganos de los sentidos, se promueve el aprendizaje y la integración de conceptos. Los resultados, permitieron encontrar que los participantes con fobias específicas están más dispuestos a comenzar con la exposición empleando la realidad virtual que exponerse al estímulo real, demostrando ser un tratamiento eficaz, con notables avances, pero con lentos progresos en sus controles trimestrales5.
Con la implementación de la “tele psicología”, definida como la prestación de servicios psicológicos utilizando tecnologías de la telecomunicación en el 2013 la Asociación Estadounidense de Psicología, propuse las directrices a considerar, las cuales sugiere comportamientos, esfuerzos y conductas con la finalidad de facilitar el desarrollo sistemático en el contexto profesional de la atención psicológica virtual(6).
En el transcurso del tiempo, se han desarrollado otros software para la atención psicológica virtual, como por ejemplo: HOMEY, un estudio propuso mejorar este sistema de telemedicina existente, con el fin de convertirlo en una herramienta de telecomunicaciones basada en el conocimiento que funcione como monitor de salud en el hogar, consejero en el manejo de enfermedades y educador, el cual se basó en la Teoría Cognitiva Social (TCS), siendo la base para el desarrollo de sistemas de telemedicina7.
Por otra parte, gracias a los avances tecnológicos y las necesidades que se plantean desde la Psicología, se busca satisfacer las necesidades de las diversas poblaciones considerando los principios éticos y garantizando facilidades para el acceso a personas que se encuentran en lugares remotos, que no pueden movilizarse o presentan discapacidad física; sin embargo, se han presentado obstáculos en el desarrollo de la “telepsicología”, pues por ejemplo en un estudio realizado en Armdake Nueva Gales, se implementó la atención por medio de videoconferencia a seis pacientes con diagnóstico de ansiedad y depresión, obteniendo resultados favorables en cuanto a la reducción de sintomatología y reporte de mejoras en su bienestar, lo cual permitió comprobar la efectividad de esta modalidad de atención8.
En Italia, se estableció por medio de un estudio el cual tenía como propósito evaluar la favorabilidad sobre el uso de asesorías en línea, especialmente empleando la videoconferencia, que simularía la atención cara a cara, reflejando una actitud positiva frente a su uso, pero se concluyó que los profesionales no se encontraban de acuerdo con realizar atenciones no presenciales para emitir diagnósticos y tratamientos, pues afirman que se podría estar infringiendo en la conducta profesional, lo cual sería sancionable, sin embargo, es importante mencionar que es necesario validar las normas éticas que cobijan en cada país el ejercicio profesional9.
El evento más reciente que marcó un hito histórico para la humanidad fue la Pandemia por Covid-19, que le proporcionó aún más fuerza a la implementación de la virtualidad en las atenciones psicológicas, ya que el riesgo de contagio con el contacto entre personas, promovió el uso de elementos de tecnología, como alternativa para poder llegar a las personas que requerían atención psicológica, pues fue común la aparición de pensamientos asociados con la preocupación que generaba conocer la existencia de un virus con alta probabilidad de ser contagioso y hasta mortal, tener que permanecer refugiados en su residencia, sumando las dificultades para mantener el empleo de muchas de las personas que derivó en el desarrollo o aumento en la gravedad de síntomas asociados con trastornos o condiciones mentales que padecían las personas, dada esta necesidad en Estados Unidos se implementaron normas para regular dicha práctica, conducta seguida por el resto del mundo10.
Por lo tanto, este tipo de atenciones se han extrapolado a otros contextos en los que es viable su aplicación, como por ejemplo podría emplearse para identificar algún tipo de fobia a las alturas para determinar aptitud laboral, por consiguiente, la fobia a las alturas o acrofobia, según como lo refiere el Manual Diagnóstico y Estadístico de los Trastornos Mentales DSM-V, corresponde a los trastornos de ansiedad, específicamente como una fobia al entorno natural, en la que usualmente se presentan síntomas fisiológicos como mareos, taquicardia, parálisis, sudoración, ansiedad, entre otros, que pueden aparecer incluso con tan solo pensar en el objeto de la fobia o la situación de peligro11.
Objetivo general
Determinar la efectividad de la aplicación virtual y presencial del tamizaje psicológico para emitir conceptos de aptitud ocupacional para trabajo en alturas.
Material y Métodos
Se estableció una población de trabajadores clientes de una caja de compensación colombiana, en un período comprendido entre el 24 de abril del 2023 hasta el 12 de enero del 2024, quienes recibieron atención de tamizaje psicológico institucional de manera virtual y presencial en las cuatro sedes de Medilaboral, teniendo en cuenta los objetivos del estudio, criterios de inclusión y exclusión se obtuvieron un total de 353 pacientes.
Se realizó un estudio analítico, retrospectivo, de corte transversal, en el cual se analizan las variables de sexo, edad, estrato socioeconómico, nivel de escolaridad, estado civil, diagnósticos previos de ansiedad, depresión, fobias, y consumo de sustancias como drogas, alcohol y tabaco, también se consideró el tipo de atención recibida (virtual o presencial). Utilizando el software estadístico STATA 18, se categorizaron las variables y se identificaron las Dummy necesarias para la regresión logística. Se realizaron las tabulaciones de las variables de interés con el fin de establecer la relación de colinealidad entre ellas para diseñar el modelo de la logit.
Una vez categorizadas todas las variables, se identificó la variable dicotómica «RESTRICCIÓN» como variable dependiente. Se encontró una colinealidad completa hacia el positivo con la variable «FOBIA», así como una colinealidad hacia el fallo en las variables «TABACO» y «DROGAS», por lo que no se tendrían en cuenta para el modelo definitivo de regresión logística. Se entiende que, por la Paradoja de Simpson, en la que una correlación existente en diferentes grupos es revertida cuando los grupos son combinados12 estas variables pueden alterar los resultados de los coeficientes de las demás variables.
Se plantea el siguiente modelo probabilístico para la regresión logística:
logit(p)=β0 +β1 RESTRICCIÓN+β2 TIPOATENCIÓN+β3 ALCOHOL+β4 DEPRESIÓN+β5 ANSIEDAD+β6 ESCOLARIDAD+β7 ESTRATO+β8 ESTADOCIVIL+β9 EDAD+β10 SEXO
Finalmente, se tuvo en cuenta un modelo robusto de la regresión para poder agrupar los datos en coeficientes más confiables, una vez se corre la regresión logística, se realiza un cálculo de efectos marginales mediante un método Delta, esto, con el fin de convertir los valores logarítmicos a una correlación porcentual de las variables independientes con nuestro resultado.
Resultados y Análisis
La muestra estuvo conformada por un total de 353 participantes, de los cuales el 74,5% fueron hombres y 25,5% mujeres, principalmente se encuentran en un rango de edad entre los 18 a 29 años, seguido de 30 a 39 años, en cuanto a su estado civil, se encontró que hay un mayor porcentaje de participantes solteros y una proporción importante refirió encontrarse en unión libre. También, se evidenció que la mayor parte de la población pertenece al estrato socioeconómico N°2, con nivel de escolaridad promedio de bachiller.
De acuerdo con los resultados que muestra la Tabla 1, la frecuencia de restricción según el tipo de atención arrojó que, de un total de 252 atenciones presenciales realizadas para determinar aptitud para trabajar en alturas, el 2.78% no cumplieron con los parámetros de aprobación para determinar aptitud para trabajar en alturas; por el contrario, de 101 atenciones realizadas de forma virtual, el 96.04% cumplieron con los criterios de aprobación y el 3.96% no.
Encontrando que la frecuencia de restricción general corresponde al 3,12%, teniendo en cuenta que 11 de los participantes no cumplen los parámetros de aprobación, pero si se discrimina el tipo atención recibida, la frecuencia de restricción de forma presencial es de 2,78% y virtual del 3,96%. Acorde con la literatura, la acrofobia afecta alrededor del 2 y 5% de la población y tiene una mayor prevalencia en mujeres13.
De acuerdo con los resultados de la Tabla 1, en cuanto a la presencia de ansiedad en función del tipo de atención, se encontró que el 71.39% se realizaron de forma presencial y 28.61% de forma virtual. Respecto a la condición de reporte de ansiedad, se encontró que el 71.68% de los trabajadores atendidos de forma presencial y el 28.32% atendidos de forma virtual no reportaron sintomatología o antecedentes de ansiedad.
Frente al grupo de evaluados en los que se identificó algún antecedente o sintomatología de ansiedad, se obtuvieron los siguientes resultados: El 57.14% recibieron atención presencial y el 42.86% virtual.
En cuanto a la presencia de fobia (Tabla 2), se encontró que bajo la modalidad de atención presencial el 66.67% y el 33.33% en atención virtual, reportaron acrofobia.
De los evaluados en los que no se encontraron reportes de ansiedad, el 99.42% recibieron un concepto de aptitud y el 0.58% tuvo restricción. También, se encontró que de 7 personas que manifestaron síntomas o antecedentes de trastornos de ansiedad, 5 fueron restringidos para ejecutar labores en alturas y 2 fueron aprobados, estos últimos recibieron la aptitud debido a que negaron los síntomas o antecedentes en su valoración psicológica, pero los refirieron en la anamnesis de la valoración médica.
En cuanto a la presencia de sintomatología asociada con depresión, del 100% de los evaluados que presentaron restricción, el 81.82%, no refirió antecedentes asociados y el 18,18% si manifestaron haber sido diagnosticados con Trastorno de Depresión.
Sin embargo, se evidenció que en cuanto a los evaluados que fueron aptos para desempeñar la labor, el 0.58% reportó depresión en su examen médico, más no en su examen psicológico.
En la tabla anterior se evidencia que de 350 personas que no reportaron fobia, el 97,7% de las personas se recomendaron para el cargo y el 2,29% no cumplieron con los parámetros establecidos.
Tal como lo muestran los resultados anteriores, el 100% de las personas que reportaron fobia no se recomiendan para desempeñar labores en alturas, pues las 3 personas en las que se identificó acrofobia fueron restringidas para desempeñar las labores del cargo.
Luego de analizar los datos en el software Stata, automáticamente se omitieron tres variables, en primer lugar, fobia ya que se considera un factor decisivo para determinar restricción, considerándolo un factor de riesgo para desempeñar actividades en alturas.
Una vez, realizado el análisis de las variables, se identificó que existe una correlación del 100% entre fobia y restricción, por lo cual fue omitida, pero se tuvo en cuenta en los resultados para la regresión logística, dos variables más fueron excluidas porque tienen una relación directa con la no aptitud (restricción), por lo tanto, no fueron tenidos en cuenta para el modelo. En consecuencia, fue necesario realizar ajustes en la regresión para prevenir la pérdida de datos.
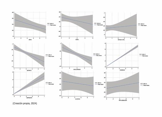
Posteriormente, se corrió de nuevo la regresión logística tomando como referencia la paradoja de Simpsom, para no alterar los demás datos (Figura 1).
El número de observaciones refleja que hubo una recuperación de los datos totales (353), el valor de Chi cuadrado corresponde a 74.38 con 9 grados de libertad, lo que sugiere que al menos una de las variables independientes tiene un efecto significativo en la variable dependiente.
La probabilidad con el valor de chi-cuadrado es 0.0000, lo que indica que el modelo en general es estadísticamente significativo. Se evidencian cambios en cuanto al Pseudo R2 que es de 49.83% de la variabilidad en los datos.
Las variables que no mostraron ser estadísticamente significativas fueron: tipo de atención que tuvo un p de 0.558; alcohol con p de 0.590, que indica el cambio esperado en la variable dependiente para un cambio de una unidad en la variable alcohol, manteniendo las demás variables constantes, al igual que la variable tipo de atención con p de 0.558, depresión para la que su valor p fue de 0.996; estrato con p 0.117, estado civil que presenta un p de 0.545, y edad con p de 0.967, lo cual quiere decir que no se podrían considerar estadísticamente significativos.
En cuanto a las variables que mostraron una relación estadística importante fueron: ansiedad, que obtuvo un coeficiente de 6.965464 y un valor p de 0.000, el cual se considera bajo y por ende establece una asociación significativa entre ansiedad y la variable dependiente (Restricción). La variable escolaridad, también mostró una asociación significativa, su coeficiente fue de -2.432204 con p 0.000. Por último, para la variable sexo el coeficiente fue de -1.957505 y un p de 0.010, lo que sugiere que existe una asociación significativa entre ser hombre o mujer y la variable dependiente, es decir restricción.
De acuerdo con los resultados que se muestran en la Figura 2, y empleando el método Delta para conseguir datos más PRECISOS, se puede evidenciar la probabilidad de tener una restricción teniendo en cuenta los efectos marginales promedio. Por lo cual, variables como Tipo de atención, Alcohol, Depresión, Edad, Estado Civil y Estrato no evidencian un efecto significativo en la probabilidad de que los evaluados no cumplan con los criterios establecidos y se restrinja la realización de actividades en alturas.
Por otro lado, se logra evidenciar que las variables con mayor efecto de probabilidad para restringir a un evaluado para realizar actividades en alturas son Ansiedad, Escolaridad y Sexo, Ya que la variable Ansiedad muestra p < 0.001, lo cual indica que es una de las variables predictoras para restringir realizar trabajo en alturas. Sin embargo, la variable Escolaridad, representa un aumento unitario que se asocia con una disminución significativa de 0.043 en la probabilidad de tener restricciones (p = 0.003).
A su vez, la variable Sexo hombre señala que se asocia con una disminución significativa de 0.035 en la probabilidad de tener restricciones (p = 0.016). (Figura 3)
En la gráfica anterior, es posible identificar aquellos factores protectores y de riesgo derivados de la regresión logística, por lo tanto, se podría establecer que contar con un diagnóstico de trastorno de ansiedad o reportar síntomas asociados, es un factor determinante para establecer restricción para obtener aptitud para desempeñar labores en alturas.
Sin embargo, las variables de escolaridad, estrato y sexo tienden a ser factores protectores, esto se traduce en que entre mayor nivel de escolaridad tiene el evaluado, si pertenece a un nivel socioeconómico superior y si es hombre, tendría menos probabilidad de obtener un concepto desfavorable para desempeñar labores en alturas.
En cuanto a la variable depresión, es posible concluir que los cálculos realizados no tuvieron el alcance para determinar que es un factor de riesgo, dadas las limitaciones del instrumento tamiz aplicado a cada uno de los participantes, puesto que éste se centraba en evaluar acrofobia y ansiedad, excluyendo depresión. Su coeficiente positivo muestra una tendencia a ser un factor de riesgo y relación con la restricción, pero se puede concluir que tiene poca fuerza estadística y no se tendrá en cuenta en el estudio (Figura 4).
Discusión
Es fundamental estandarizar una evaluación psicológica ocupacional para determinar la aptitud, la cual debe ser robusta en su sustento teórico, válida y contener pruebas psicométricas que permitan detectar patologías como fobias, ansiedad, depresión y otros antecedentes relevantes para emitir conceptos de aptitud.
Se identifica que el instrumento de tamizaje empleado no evaluaba la depresión ni otras patologías que podrían considerarse criterios de no aptitud. Dado que trabajar en alturas es una tarea de alto riesgo, es indispensable identificar alteraciones en la conducta y el pensamiento que podrían poner en peligro la seguridad del trabajador, sus compañeros o el equipo.
Un limitante identificado según la literatura consultada es que la modalidad no presencial de las atenciones psicológicas a veces se ve afectada porque los consultantes tienden a distraerse con facilidad y encuentran obstáculos para encontrar una ubicación tranquila. Estas situaciones fueron recurrentes durante la pandemia, por lo que es necesario implementar un control de contingencias para garantizar la atención.
Se sugiere la realización de nuevos estudios presupuestales para determinar la relación costo-efectividad de emplear este tipo de atenciones no presenciales en el contexto ocupacional.
Finalmente, es importante tener en cuenta que los datos obtenidos se basan en la percepción del riesgo reportada por los evaluados, lo que no implica que se establezca alguna relación entre la condición del sexo y la capacidad para desempeñar labores en alturas.
Conclusiones
De acuerdo con los datos obtenidos dentro de la regresión logística, fue posible establecer que no se encontraron diferencias estadísticamente significativas en cuanto a la restricción para la ejecución de labores en alturas, producto de recibir atención virtual frente a la presencial, incluso se pudo identificar que hubo una tendencia a ser más honestos y sinceros frente a referir padecer de fobia, ansiedad o contar con antecedentes psicológicos o psiquiátricos de interés para emitir el concepto (Bardos, 2005)15.
Es posible establecer que las variables ansiedad, escolaridad y sexo mostraron una asociación más fuerte con la variable dependiente, es decir con la restricción para ejecutar labores en alturas y por el contrario, tipo de atención, alcohol, depresión, estrato, estado civil y edad, según los valores P obtenidos, no muestran asociación significativa, e incluso, es posible afirmar de acuerdo con los resultados es 6.9 veces más probable que una persona que reporte padecer de ansiedad, muestre alguna limitación para realizar labores en alturas y por ende ser restringido.
De igual forma, se podría afirmar que de acuerdo con los resultados obtenidos, cada grado de escolaridad representa un 4% de probabilidad de alejarse de obtener un resultado desfavorable, pues las personas que cuentan con mayor nivel educativo, tienden a presentar menor probabilidad de tener restricciones en la evaluación tamiz para determinar aptitud para realizar labores en alturas, pues esto aporta un mayor grado de comprensión de los contextos a los cuales se enfrentarían, evaluar sus habilidades de afrontamiento y valorar los riesgos.
Para finalizar, en cuanto a la prevalencia por sexo respecto a la acrofobia y según como lo refiere la literatura, las mujeres tienden a reconocer el temor a las alturas con mayor frecuencia que los hombres, y que los hombres muestren menos restricción al enfrentarse a situaciones de peligro.
Declaraciones finales
Los hallazgos aquí presentados parten exclusivamente de los datos recolectados y no están sujetos a ideología de género o constructos sociales de la población.
Los investigadores declaran que no tienen conflictos de interés, no actúan en representación de alguna entidad comercial y no han aceptado beneficios adicionales para la creación de este artículo.
Agradecimientos
Queremos expresar nuestro sincero agradecimiento a la Dra. Eliana Rojas por su invaluable contribución en la corrección de estilo de este artículo. Sus sugerencias y comentarios han mejorado significativamente la calidad y claridad del texto. También deseamos reconocer y agradecer el apoyo institucional brindado por la Dra. María Teresa Salazar. Su respaldo y orientación han sido fundamentales para el desarrollo y la realización de este trabajo de investigación. Nuestro profundo agradecimiento a ambas por su valioso aporte, el cual ha sido fundamental para el éxito de este proyecto.



















